


A Confederação Nacional das Seguradoras - CNseg é uma associação civil, com atuação em todo o ter ritório nacional, que reúne as Federações que representam as empresas integrantes dos segmentos de Seguros, Previdência Privada Complementar Aberta e Vida, Saúde Suplementar e Capitalização.
A CNseg tem como missão contribuir para o desenvolvimento do sistema de seguros privados, repre sentar suas associadas e disseminar a cultura do seguro, concorrendo para o progresso do País.
A Conjuntura CNseg é uma análise mensal do estado dos segmentos de Seguros de Danos e Respon sabilidades, Coberturas de Pessoas, Saúde Suplementar e Capitalização, com o objetivo de examinar aspectos econômicos, políticos e sociais que podem exercer influência sobre o mercado segurador brasileiro. Em meses de referência de fechamento de trimestre, esta publicação reúne também os Destaques dos Segmentos, a atualização das Projeções de Arrecadação, os Boxes informativos Esta tístico, Regulatório, Jurídico, de Sustentabilidade e de Relações de Consumo, além do acompanha mento de Produção Acadêmica em Seguros.
Os Seguros de Responsabilidade Civil ingressaram em uma nova fase em julho de 2021, com a publicação pela Susep da Circular 637/21, que flexibilizou normas para os ramos RC Geral, E&O, Riscos Ambientais, Riscos Cibernéticos e D&O. Cerca de um ano depois, o normativo assegura a liberdade na elaboração de clausulados, seja com coberturas para um produto ou nicho, seja pela conjugação de diferentes cober turas. A nova legislação permitiu, por exemplo, contratar uma apólice que combine RC Geral, Ambiental e Cyber, a depender da aceitação de riscos de cada seguradora e da demanda do mercado.
Agora, com um cenário mais flexível em relação aos clausulados, é hora de trabalhar pela disseminação de ramos de RC que apresentam um enorme potencial de expansão. Dentre eles, está o de Riscos Ambientais.
De janeiro a junho de 2022, esse seguro apresentou a maior expansão do grupo de RC, com crescimento de 31,8%. O patamar de arrecadação no período, cerca de R$ 64 milhões, ainda não é alto, se comparado com o de RC Geral, de R$ 1,6 bilhão. No entanto, a importância cada vez maior do conceito ESG nas empresas (sigla que significa “ambien tal, social e governança corporativa”, do inglês “environmental, social, and corporate governance”) abre amplas perspectivas para as apólices que cobrem acidentes ambientais.
Esta é a avaliação do novo presidente da Comissão de Responsabilida de Civil (RC) da FenSeg, Fabio Barreto. Com mais de 20 anos de expe riência nos mercados nacional e internacional. Responsável pela ope ração regional para América Latina na Linha de Riscos Ambientais de uma das maiores seguradoras do País, Barreto dá um exemplo simples que dimensiona o quanto o seguro ambiental ainda pode crescer.
Das 46 companhias que integram a carteira de Índice de Sustentabilidade Empresarial (ISE B3) da Bolsa de Valores de SP (Ibovespa), apenas nove ofertam apólices de riscos am bientais, mesmo sendo esse seguro um dos in dicadores do processo de aplicação ao Índice, fator que melhoraria ainda mais a pontuação das companhias. “Isso mostra como a maioria das grandes empresas, tirando as honrosas ex ceções, ainda não tomaram para si o valor do seguro ambiental”, pontua. Detalhe: essa lis ta, que abrange 27 setores da indústria, soma R$ 1,74 trilhão em valor de mercado, 38% do total negociado em ações no Ibovespa.
Mudar esse cenário passa por uma mudança cultural, na avaliação do presidente da Co missão da FenSeg. “Enquanto nos EUA e Eu ropa, o seguro é visto como um instrumento de proteção com fim social, como um investi mento que a empresa deve fazer em prol do coletivo, no Brasil, para a maioria, a apólice ainda é vista como um custo a mais para a operação”, analisa Barreto, que vem se es pecializando no tema. Além de MBAs em Gestão & Tecnologias Ambientais e Gestão de Áreas Contaminadas & Revitalização de Brownfields pela USP, Perícia & Valoração de Danos Ambientais pela PUC-Minas, Barreto é pós-graduando em Direito Ambiental pelo CEI/IDPV.
A questão regulatória pode ser um ca minho para essa transição. Barreto cita o caso do México, onde a agência que regu la o setor energético tornou obrigatório o seguro de Riscos Ambientais para as em presas do segmento de hidrocarbonetos, que inclui toda empresa que transporta, armazena, distribui, atua com a compres são, descompressão, liquefação e regasei ficação e também vendo ao público (pos tos de combustíveis) de hidrocarbonetos ou produtos petrolíferos.
“As questões de ESG estão avançando nas empresas, e as seguradoras podem contribuir, à medida que concedem as garantias às empresas, seja revisando o gerenciamen to dos riscos ambientais e questões de go vernança, seja endossando as práticas am bientais implementadas”, afirma Barreto, que conta, ao seu lado, com a colaboração de Juliana Alves – a nova vice-presidente da Comissão de RC da FenSeg - que traz, em duas décadas de experiência, com pas sagens por seguradoras nacionais e multi nacionais, além de MBAs em Seguros pela FMU, Gestão de Negócios pela FIA e Plane jamento Estratégico pelo INSPER. Como seu colega de Comissão, Juliana responde também pela operação regional para a América Latina de uma seguradora multinacional.
Com a publicação, em julho deste ano, da Re solução CNSP nº 439/22 e da Circular Susep nº 667/22, o mercado segurador passou a ter o novo Marco Regulatório das coberturas de risco dos seguros de pessoas. Diversas nor mas foram revogadas, consolidando, nesses normativos, todas as disposições regulatórias aplicáveis às referidas coberturas.
Conforme mencionado na exposição de mo tivos, o objetivo dos normativos “é atualizar a regulamentação específica de seguros de pessoas com coberturas de risco de modo que a abordagem regulatória deixe de ser excessivamente prescritiva e passe a ser mais principiológica, colaborando para simplificar a operacionalização dos produtos de seguro de pessoas e eliminar restrições que já não se mostram pertinentes”.
Também de acordo com a referida exposição de motivos, além da revisão e consolidação, os normativos estão alinhados com os objeti vos estratégicos que constam do Planejamen to Estratégico 2020-2023 da Susep: i) sim plificar a regulação dos mercados e ii) criar ambiente favorável ao desenvolvimento de
um mercado competitivo, transparente, ino vador e com maior cobertura.
A simplificação regulatória, com normas mais principiológicas, é um objetivo que deve es tar sempre na pauta do regulador. Nesse con texto, cabe especial menção aos parágrafos abaixo, transcritos da exposição de motivos dosNessenormativos:aspecto,
vale citar a publicação The Global Competitiveness Report 2019 do World Economic Forum - WEF. No indica dor geral de competitividade, o Brasil en contra-se na posição 71 de 141 economias avaliadas. No indicador específico sobre peso da regulação, o país ocupa a impres sionante última colocação (141/141). Vale menção também ao relatório OECD Pro duct Market Regulation (PMR) Indicators: How does Brazil compare?, publicado em 2018. No indicador geral, o Brasil ocupa posição pior que a média das 5 economias menos favoráveis à concorrência (competi tion-friendly). No indicador específico so bre regulação (simplification and evalua tion of regulation), estamos em posição
consideravelmente pior que a média das 5 economias menos favoráveis à concorrência. Esses indicadores fornecem sólida evidência empírica a favor de uma agenda de simplificação regulatória
Em particular, vale mencionar apresentação feita pela Secretaria Especial de Produtivida de, Emprego e Competitividade do Ministé rio da Economia (SEPEC/ME), que introduziu o Reg-OCDE - Programa de Convergên cia Regulatória à OCDE (0953061). O pro grama tem o objetivo de planejar medidas necessárias para a melhoria do ambiente de negócios no Brasil, estabelecendo como meta levar a nota do PMR1 do Brasil para a média dos países da OCDE. A apresentação citada aponta o Brasil como 47º de 49 países no indicador geral do PMR da OCDE.
Assim, foi a partir da percepção de excessos de regulação no mercado de seguros brasilei ro, que as referidas normas foram elaboradas, buscando simplificar o arcabouço regulatório, com o objetivo de, ao mesmo tempo, forne cer adequada proteção aos clientes e permitir o desenvolvimento de um setor cada vez mais competitivo, dinâmico e inovador, que oferte produtos diversificados, acessíveis e capazes de atender aos anseios dos consumidores.
Cabe reforçar que a ampliação da liberdade contratual é um princípio necessário para o desenvolvimento de todos os mercados, amparada pela Lei nº 13.874/19, que insti tuiu a Declaração de Direitos de Liberdade Econômica, estabelecendo normas de pro teção à livre iniciativa e ao livre exercício da atividade econômica.
Nesse contexto, o novo Marco Regulató rio das coberturas de risco dos seguros de pessoas permitirá a estruturação de novos produtos, mais inovadores e aderentes às necessidades dos diversos perfis de con sumidores e durante toda sua jornada de Asvida.oportunidades são muitas. À iniciativa do regulador se agrega toda a experiência do mercado, construída ao longo dos anos, com sua capacidade de se superar sempre, para ofertar produtos cada vez mais inova dores e aderentes às necessidades da socie dade e em prol do País.
É necessário unirmos esforços, para disse minar a cultura securitária, de modo que mais pessoas compreendam a relevância das coberturas securitárias e possam estar por elas protegidas.
1 Indicador Product Market Regulation (PMR), que mede a eficiência regulatória desde transportes até serviços.
A 2ª Seção do Superior Tribunal de Justiça (STJ), em julgamento realizado em 08 de ju nho, entendeu ser taxativo, em regra, o Rol de Procedimentos e Eventos em Saúde esta belecido pela Agência Nacional de Saúde Su plementar (ANS), não estando as operadoras de saúde obrigadas a cobrir tratamentos não previstos na lista. Contudo, o colegiado fixou parâmetros para que, em situações excepcio nais, os planos custeiem procedimentos não previstos na lista, a exemplo de terapias com recomendação médica, sem substituto tera pêutico no Rol e que tenham comprovação de órgãos técnicos e aprovação de institui ções que regulam o setor.
Mas, mesmo com a decisão do STJ, o tema continua em pauta no Congresso Nacional e no Supremo Tribunal Federal (STF). Na pri meira semana de agosto, foi aprovado, pela Câmara dos Deputados, o Projeto de Lei 2033/22, que altera a Lei dos Planos de Saú de (9.656/98) para estabelecer hipóteses em que o plano de saúde deve cobrir exames e tratamentos que não fazem parte do Rol. O PL está previsto para ser votado no Senado em 29/8.
No STF, o ministro Luís Roberto Barroso convocou para 26 e 27 de setembro uma audi ência pública para ouvir especialistas e repre
sentantes do poder público e da sociedade civil sobre a amplitude das coberturas de pla nos de saúde, a metodologia de atualização do Rol e o seu caráter taxativo.
A FenaSaúde participará da audiência, cha mando atenção para o fato de que esta pre cisa ser uma discussão qualificada, com base em informações concretas. Em primeiro lugar, é importante saber que nenhum dos países com melhores indicadores de saúde é capaz de ofertar todas as tecnologias disponíveis para suas populações. Todos adotam meca nismos de regulação para maximizar os resul tados da aplicação de recursos finitos. Dentre os principais mecanismos, está a elaboração de listas de “coberturas controladas” adicio nadas ou não à regulação de preços das tec nologias, em especial dos medicamentos.
Esse conceito de “cobertura controlada” causou muita polêmica no segmento de saúde. Foi um choque entre o racional e a uto pia. De fato, não há como cobrir tudo o que existe e existirá com orçamentos realistas e Ainelásticos.elaboração
da lista pressupõe escolhas e priorização. Essas escolhas são norteadas pela análise de custo de oportunidade, ou seja, qual decisão permite atender e gerar mais valor para o maior número de indivíduos.
Para isso, as ciências médica, econômica e es tatística desenvolveram uma ferramenta de
Superintendente de Avaliação de Tecnologia em Saúde e Cobertura Assistencial da FenaSaúdesuporte à decisão chamada Avaliação de Tec nologias em Saúde (ATS). Essa é a metodologia amplamente utilizada nos países para se comprovar o real efeito de uma tecnologia, em que se atesta com evidências e dados reais que ela traz benefícios diferenciados ao paciente, não apenas custos para o sistema de saúde.
Nesse processo também se realiza a análise de segurança. Isso porque o processo de registro de medicamentos no Brasil, acompanhando outras agências internacionais, aceita estudos incompletos para situações excepcionais. Dessa forma, a segurança, ou seja, o perfil de eventos adversos é reportado somente com estudos em pequenas populações com uso em ambiente controlado dos ensaios clínicos.
Para exemplificar esse ponto, recorremos ao caso relacionado ao medicamento olaratu mabe - Lartruvo, oncológico de alto custo, in dicado para tratamento do sarcoma avançado. Ele foi registrado de forma acelerada em diver sas agências regulatórias do mundo, incluindo a Anvisa (Agência Nacional de Vigilância Sanitária). Depois de dois anos de comercialização do produto no mercado global, a indústria fa bricante comunicou que o estudo confirmató rio de eficácia e segurança, infelizmente, não havia encontrado os benefícios que os estudos preliminares indicavam.
Atualmente, a ANS define a cobertura obri gatória pela Saúde Suplementar. No SUS, essa análise fica a cargo da Conitec (Comissão Na cional de Incorporação de Tecnologias), e ambas se utilizam da ATS para informar e subsi diar as decisões de coberturas.
Alterações que tornem a cobertura ilimita da criam benefício apenas aparente e, sobretudo, questionável para uma minoria de pacientes com custos pagos por todos os beneficiários. Um contrassenso em relação à lógica de funcionamento da Saúde Suple mentar, que tem como um dos pilares o mu tualismo. Todos os participantes contribuem para um fundo comum em favor de alguns indivíduos do grupo que venham a precisar de procedimentos e tratamentos médicos.
Essa contribuição é por meio das mensalidades dos planos de saúde. Ela é calculada em função dos custos assistenciais e das fre quências de utilização. A amplitude da co bertura, em conjunto com outras variáveis, é fundamental para a correta precificação do plano de saúde.
A incerteza quanto à obrigação de cober tura elevará o custo da mensalidade, uma vez que aumentará a margem de seguran ça necessária para coberturas ilimitadas e quanto maior o preço final, menos consu midores terão acesso ao sistema de Saúde
são favoráveis a alterna tivas que melhorem as condições de vida e curem os pacientes. Por isso, incorporações de novas coberturas só devem ocorrer após análises que comprovem que a tecnologia a ser incorporada efetivamente produza melhores resultados para o paciente e não apenas signifique custo extra para todo o sistema suplementar – logo, para todos os usuários de planos de saúde.
A Capitalização vem transformando a vida de milhares deCapitalizaçãobrasileiros
O mercado de Capitalização apresentou vi goroso crescimento e solidez no primeiro semestre, reflexo da combinação de investimentos em soluções de negócios para con sumidores e empresas, sempre associando um componente lúdico de premiação. O re sultado positivo de norte a sul do País fez o setor atingir, em junho, R$ 13,56 bilhões em receita, alta de 17,25% sobre igual período de 2021, de acordo com os dados da Supe rintendência de Seguros Privados (Susep).
Esse crescimento permitiu injetar na socieda de um volume de recursos da ordem de R$ 10,65 bilhões oriundos de sorteios e resgates. Foram R$ 9,92 bilhões (+3,78%) em resgates e R$ 733 milhões (+15,68%) em sorteios, que chegaram ao mercado em forma de investi mento e consumo até maio deste ano. As re servas técnicas, que medem a robustez finan ceira do setor, avançaram 6,2% para o maior patamar da história: R$ 34,7 bilhões.
Além das contribuições no âmbito macro econômico, a Capitalização vem transfor mando a vida de milhares de brasileiros, por meio de projetos sociais encampados pelas
diversas entidades filantrópicas que, de al guma forma, sensibilizam-se por movimen tos sociais.
A pandemia da Covid-19 e os aumentos globais de óleo e gás, com reflexo em dife rentes cadeias de produção e na inflação, reforçaram a importância das reservas de valor. É aqui que destacamos a Capitaliza ção como instrumento de disciplina finan ceira: preservar hoje para poder contar com algum recurso no futuro ou em momentos de Historicamente,imprevistos.
o mercado de Capitalização sempre teve presença na economia do País, e o Marco Regulatório do setor, de 2018, veio normatizar e dar ainda mais transpa rência às relações de consumo e especificida des dos produtos. As mudanças regulatórias também permitiram ao setor ampliar suas possibilidades de atuação.
Essas novas regras aprimoraram ainda mais a capacidade empreendedora e a forma de a Capitalização olhar com profundidade as demandas e necessidades da população
e de seus mercados. O setor, por exemplo, precisou realizar grandes investimentos em plataformas digitais. Isso resultou em mais transparência e maior agilidade nos proces sos e descentralização da atividade. Como resultado positivo, a inovação tem permiti do ao cliente comprar com mais facilidade.
O brasileiro conhece bem o Título de Ca pitalização, que só perde para a poupança como instrumento de reserva. Não se trata de um investimento, na definição clássica, porque não oferece retorno sobre o capital. Porém, além da atualização monetária, ele tem o atrativo dos sorteios com prêmios em dinheiro e atributos como ser acessível à boa parte da população e inclusivo ao atender a um grande número de pessoas não ban carizadas. O atrativo dos sorteios, a facili dade de acesso e a ausência de burocracia explicam a grande aceitação dos Títulos de Capitalização no mercado com mais de 11,1 bilhões de títulos ativos.
A Capitalização é uma oportunidade de ne gócios, pois promove soluções essenciais ao dia a dia de pessoas e empresas, a exemplo da garantia de contratos como os de loca ção de imóveis e de promoções comerciais para fidelização e valorização de clientes. Ainda motiva os titulares dos produtos a
participarem de sorteios ou, no caso da mo dalidade de Filantropia Premiável, que cada vez mais ganha destaque no nosso mercado, estimulando a consciência social e a doação para entidades de assistência espalhadas por todo o País.
Nosso intuito é fomentar um ambiente de inovação e geração de negócios para o de senvolvimento do setor, valorizando ain da mais o resiliente e fundamental papel do nosso setor para a disciplina financeira. É preciso esclarecer e reforçar as inúmeras oportunidades que a Capitalização gera para os mais diferentes negócios, com as pecto lúdico do sorteio – um atrativo que conquistou os brasileiros há décadas. É esse o trabalho que a FenaCap tem se dedicado junto às associadas com visíveis resultados neste primeiro semestre de 2022.
Temos pela frente o desafio de rejuvenes cer a nossa base de clientes e estreitar ainda mais o relacionamento para atrair mais fãs da Capitalização. Mas entendemos que apri morar os mecanismos de aproximação com o consumidor e oferecer soluções mais ágeis e completas será determinante para a sus tentabilidade do mercado. Há um próspero caminho pela frente, por isso continuamos resilientes e otimistas.
Por mais um ano consecutivo, as seguradoras que fazem parte da Co missão de Integração ASG da CNseg se debruçaram sobre aspectos mais relevantes da agenda de sustentabilidade. O resultado desse compro metimento é apresentado no Relatório de Sustentabilidade do Setor de Seguros, publicado anualmente pela Confederação desde 2015.
Em 2021, 35 empresas, que representam 85,7% do prêmio total arre cado pelo mercado de seguros, contribuíram com informações sobre como estão considerando aspectos ambientais, sociais e de governan ça em sua atuação e em seus modelos de negócios. As informações consolidadas e apresentadas em indicadores setoriais imprimem um importante panorama sobre a evolução que ocorre entre as segu radoras em atuação no Brasil. Ao comparar os indicadores recentes com os de edições passadas, os horizontes de análise são ampliados e é possível ter uma dimensão maior sobre os pontos de atenção e de evolução do setor.
Para garantir que suas ações ganhem a devida tração internamente, gerem valor, resultado e contribuam para a construção de um futuro mais sustentável, elas precisam fazer parte do planejamento estratégi co da organização. De acordo com os Princípios para Sustentabilidade em Seguros (PSI), é fundamental considerar aspectos ASG mais rele vantes para definição de uma estratégia empresarial. Por isso, aspectos como mudanças climáticas, resíduos sólidos, condições trabalhistas, en tre outros, são gradualmente formalizados em políticas institucionais entre seguradoras brasileiras.
De acordo com o Relatório de Sustentabili dade do Setor de 2021, 86% das empresas participantes integram questões ASG em sua estratégia de negócios. O conhecimento das questões ASG e sua adequada integração à agenda estratégica propicia melhor compre ensão sobre seu contexto corporativo, suas fragilidades, sua exposição a riscos, novas oportunidades de negócios e, portanto, pode representar um diferencial competitivo para a seguradora. Já a não consideração dessas questões pode impactar negativamente o resultado operacional, já que o aumento da exposição aos riscos se traduz, por exemplo, em um eventual aumento da judicialização e perdas financeiras decorrentes de sinistrali dades ligadas a intempéries climáticas. Além
dos impactos operacionais, há ainda impactos na imagem reputacional das companhias, uma vez que a irrelevância do tema no planejamento estratégico pode afetar a conduta delas e consequentemente seu relacionamen to com as partes interessadas.
Ao comparar os dados de cinco anos atrás, é possível constatar a evolução de cerca de 10% desse indicador, que, em 2016, representava cerca de 77% das participantes do Relató rio daquela edição. Entre as principais ações descritas pelas empresas em 2021 que fazem parte da estratégia empresarial de sustenta bilidade estão a criação de políticas, especí ficas ou não, em 95% dos casos, a realização
Um indicador que apresentou expressivo au mento nos últimos cinco anos é o percentual de empresas que afirmaram desenvolver pro dutos e serviços com características que agre gam benefícios para o meio ambiente e para sociedade. Em 2016, o indicador era de 43%; na última edição de 2021, esse indicador alcançou 74% dos participantes, um aumento de cerca de 30%. Em relação ao pilar ambien tal, mitigar o impacto de eventos climáticos físicos e garantir destinação adequada de sal vados, bem como promover a conscientiza ção sobre o uso eficiente de recursos naturais, são exemplos de como as seguradoras podem materializar riscos e oportunidades ASG. Se guros residenciais com serviços ambientais associados, com destaque para as orienta ções envolvendo o descarte sustentável de resíduos, além de dicas para conscientizar consumidores sobre práticas de uso racional de recursos como água e energia elétrica, são modalidades mais conhecidas ofertadas.
de treinamentos internos, em 90% dos casos, e o desenvolvimento de produtos e serviços que consideram riscos e oportunidades ASG, em 74%. Sobre a criação de políticas internas, específicas ou não, a inclusão de critérios ASG nas políticas de investimento, de subscrição e de gestão de fornecedores, por exemplo, são casos em que os temas são considerados de maneira transversal.
Há ainda seguradoras que oferecem apólices específicas contra riscos ambientais. Empresas como indústrias químicas, petroquímicas, metalúrgicas, hospitais, entre outras, estão expostas a eventos de poluição ambiental sú bita ou gradual e, consequentemente, a riscos financeiros relevantes. Para apoiar o proces so de gerenciamento desses riscos de even tual poluição ambiental, muitas seguradoras oferecem coberturas para Riscos Ambientais.
O Relatório de 2021 aponta que, das 64% das participantes que oferecem produtos ou linhas de negócio relacionados diretamente ao risco ou à responsabilidade ambiental, cerca de 29% possuem seguro de riscos am bientais em seu portifólio. Um aumento de 13% em relação aos resultados de 2016.
O impacto social positivo é intrínseco à ati vidade do setor de seguros, uma vez que, ao indenizar a empresa ou indivíduo, a segura dora cumpre sua função social de minimizar
danos e reparar perdas. No entanto, alguns produtos possuem características particula res que maximizam essa função social, por oferecer coberturas particulares, canais de distribuição mais inclusivos e condições di ferenciadas de pagamento, que permitem o acesso mais amplo a produtos e serviços
A subscrição do risco constitui tarefa central dos negócios de uma seguradora. Nesse pro cesso, não levar em consideração os aspectos socioambientais e de governança pode resul tar em uma precificação de riscos ou aceita ção míope, que não considere riscos emer gentes que podem afetar a sinistralidade ou expor a empresa a riscos reputacionais. A ges tão adequada dos aspectos ASG nos processos de subscrição pode melhorar o resultado das companhias de seguros ao gerar valor de longo prazo via atenuação dos impactos da sinistralidade e via oferta de novos produtos.
Desde a assinatura do Protocolo Verde em 2009, a CNseg tem promovido uma série de iniciativas de engajamento setorial com vistas a conscientizar e capacitar seguradoras com as melhores recomendações sobre processos de subscrição que considerem aspectos de susten tabilidade. Ainda que pesem todos os desa fios, o avanço nesse indicador deixa claro que as seguradoras estão no caminho certo para aprimoramento das suas atividades.
de seguros. Entre os exemplos citados de produtos e serviços com essas característi cas estão os microsseguros, o seguro Auto Popular e o seguro de vida sem carência, destinado aos profissionais de saúde que trabalharam na linha de frente no combate à Covid-19.
Incluem aspectos ASG em seus processos de subscrição de riscos
Quando questionadas de que forma estão in tegrando questões ASG em seus processos de subscrição, 54% das participantes afirmaram incluir diretrizes relacionadas ao tema em suas políticas gerais de subscrição de riscos e 46%, por meio de uma política específica para essas questões, fazendo com que a aná lise de riscos e de aceitação seja abrangente e sistêmica.
De que incluemmaneiraquestões ASG em seus processos de subscrição de riscos
Incluem as questões ASG em suas políticas gerais de subscrição de Incluemriscos.as questões ASG por meio de uma política específica para essas questões.
O ano de 2021 manteve o pé no acelerador para agenda ASG e especialmente para o fortalecimento das finanças sustentáveis. Se gundo relatório: “Perspectivas do mercado de finanças sustentáveis1”, elaborado pela BloombergNEF (BNEF), em 2021, foram emitidos mais de US$ 1,6 trilhão em instrumen tos de dívida sustentável, estabelecendo um novo recorde anual e totalizando volume total de ativos para mais de US$ 4 trilhões (em 2020, o volume de títulos e empréstimos ambientais e/ou sociais emitidos foi de US$ 732,1 bilhões).
Sob a ótica da sustentabilidade, a definição da estratégia de investimento também deve incluir os riscos ASG como variáveis que po dem impactar o desempenho dos investi mentos e, eventualmente, comprometer os investimentos futuros. Como um dos maiores investidores institucionais do País, com ativos equivalentes a 27% da dívida pública brasi leira, o setor de seguros tem potencial para
influenciar seus stakeholders da cadeia de seguros e promover uma agenda de investi mentos responsáveis alinhada à estratégia de desenvolvimento sustentável.
Atualmente, cerca de 57% das seguradoras participantes do Relatório de 2021 afirma ram incluir critérios e metodologias que con-
Incluem aspectos ASG em suas políticas de investimentos
sideram questões ASG em suas políticas de investimentos. Além disso, das que possuem gestora de recursos própria (cerca de 82% das participantes), metade conta com meto dologia de avaliação ASG na análise e gestão de ativos já implementada.
As seguradoras combinam diferentes estra tégias para análise de ativos. Entre as mais
Depois da febre da sigla ASG iniciada com a pandemia em 2020, em 2022, algumas preo cupações sobre o tema começaram a surgir no cenário internacional. O agravamento da crise energética mundial provocado pela guerra na Ucrânia e o baixo desempenho de alguns fundos de sustentabilidade – em comparação com outros tradicionais – le vantaram questionamentos sobre a possibi lidade de o mundo não conseguir conciliar desenvolvimento econômico com responsabilidade socioambiental. Na mídia, os tweets do homem mais rico do mundo, Ellon Musk, afirmando que ratings ESG são uma farsa e a publicação de uma série de artigos no re nomado jornal The Economist, que afirmam que, apesar de bem-intencionada, a agenda ASG é profundamente falha, aumentaram ainda mais dúvidas sobre a importância que vem sendo dada ao tema.
Apesar dos percalços no cenário internacio nal, o setor de seguros brasileiro compro
comuns para gestão responsável dos seus in vestimentos, estão análises qualitativas, in cluindo indicadores red flag2, e análise SWOT (45%), construção do portfólio considerando diferentes cenários socioambientais, especial mente climáticos (45%) e a gestão de riscos ASG com avaliação de exposições e definição de limites de concentração de riscos ASG e fi nanceiros (36%).
vou por mais um ano que segue resiliente e compromissado com a agenda de desenvol vimento sustentável. Seja no empoderamen to interno do tema para que as ações façam parte de forma integrada da estratégia das companhias, seja no desenvolvimento de produtos e serviços que tenham característi cas socioambientais positivas, isto é, na ava liação de riscos e oportunidades ASG para subscrição de riscos e gestão de ativos, as seguradoras brasileiras dão sinais de que estão conseguindo integrar a sustentabilidade em sua cadeia de valor. Importante destacar que todas as iniciativas entre seguradoras se desenvolvem em caráter voluntário. Com a publicação da Circular Susep nº 666/2022, neste ano, criando requisitos de sustentabili dade a serem observados pelas empresas do setor, as expectativas são de que as ações ga nhem ainda mais força e concretude, refor çando o papel de relevância e protagonismo que o setor de seguros tem para a agenda de desenvolvimento sustentável.
2 Sinalizar investimento com red flags é uma forma de sinalizar incompatibilidade do ativo com a estratégia de sustentabilidade em investimentos. Deve ser entendido como um “sinal de alerta” quando existir em concentrações altas.
O seguro lida com os riscos e as incertezas em relação às grandes perdas a que a socieda de e os indivíduos estão submetidos. A forma usual como se aprende a lidar com essas in certezas é olhar o passado para tentar miti gar os riscos futuros.
Nos últimos anos, tem-se observado a ocor rência de eventos de grande magnitude com uma frequência maior do que as observadas historicamente, como eventos climáticos ex
tremos e a pandemia provocada pela Co vid-19. Concentrando-se no segundo evento, foram contabilizados, até o momento, 34,2 milhões de casos e mais de 682 mil mortes no Brasil1. O setor de seguros cobriu mais de 183 mil eventos relacionados à Covid, entre abril de 2020 e junho de 2022, e foram pagos R$ 6,8 bilhões em indenizações decorrentes da doença desde o início da pandemia, con forme dados da Fenaprevi2. O gráfico abaixo mostra o aumento no volume de indeniza ções pagas no período da pandemia.
Conhecer a frequência com que eventos extremos, como catástrofes ambientais, cri ses financeiras ou pandemias, ocorrem é de grande importância para a sociedade e para a economia por poder resultar em prejuízos bilionários para todos. A análise desses even tos e a estimação adequada dos riscos são de grande interesse das seguradoras, pois po dem ser empregadas no cálculo do capital necessário a ser alocado na atividade, além de fornecerem informações relevantes para a construção do programa de resseguro e para a precificação dos produtos de seguros, entre outras aplicações. Para auxiliar a pre dição de grandes eventos, foi criada a Teoria de Valores Extremos (TVE) que ajuda a es timar a probabilidade de ocorrência desses eventos e sua magnitude. A proposta desse estudo é aplicar a TVE nos valores de inde nizações pagas pelo seguro de Vida, de for ma a conhecer qual seria a probabilidade de nova ocorrência de pagamento de grandes volumes de indenizações.
As distribuições usualmente utilizadas para modelar perdas geralmente são dos tipos Normal e Gama. Entretanto, perdas relacio nadas a dados financeiros e econômicos têm, na maioria das vezes, comportamento com cauda pesada, isto é, quando a frequência de valores muito altos é maior do que a espera da, ao contrário dessas duas distribuições.
A dificuldade de se modelar eventos com valores extremos começou a ser tratada nos
trabalhos de Fisher e Tippett, em 1928, com um resultado assintótico para distribuições de máximos. Mas não houve muito avanço até a década de 50, quando Von Mises (1954) e Jenkinson (1955) mostraram que as distri buições do limite de máximos poderiam ser englobadas em uma única distribuição cha mada Generalized Extreme Value (GEV). O aperfeiçoamento da técnica foi feito utili zando-se uma abordagem Bayesiana de esti mação com o método MCMC - Markov Chain Monte Carlo (Gamerman e Lopes, 2006).
Para esse trabalho, foi utilizada a visão Baye siana para modelar os excessos, em que é as sumido que os parâmetros de interesse têm uma distribuição de probabilidade que pode ser descrita por uma função de verossimi lhança, a partir dos valores observados (Nas cimento, 2012). Assim, são utilizadas duas abordagens na modelagem: a distribuição Gama para os dados que não estão na cau da, isto é, os valores não-extremos, e a distri buição GPD (Generalized Pareto Distribution) para os dados da cauda (valores extremos), que fornecem estimativas pontuais e interva lares para os parâmetros do modelo.
Utilizando os dados mensais de indenizações pagas em seguros de Vida pelas seguradoras supervisionadas pela Susep no período de janeiro de 2010 a junho de 2022 (um total de 150 observações), verificou-se, pelo histo grama abaixo, que 39% do total das indeni zações pagas em um mês estão no intervalo entre R$ 357 e R$ 477 milhões.
As observações mostram que o valor médio de indenização do seguro de Vida pago mensalmen te foi de R$ 470,7 milhões, o valor mínimo foi de R$ 117,1 milhões e máximo de R$ 1,2 bilhão.
Min. 1st Qu. Median Mean 3rd Qu. Max. R$ 117,1 R$ 368,0 R$ 438,2 R$ 470,7 R$ 510,8 R$ 1.238,8
Para a modelagem dos excessos ou valores extremos pagos em indenizações dos seguros de Vida, no período de janeiro de 2010 a junho de 2022, foi utilizado o pacote extrememix3, criado por Leonelli, em 2021, no software R, e foram utilizadas duas funções de ajuste para comparar os resultados e definir a melhor modelagem: a fggpd e a fmgpd.
O primeiro ajuste nos dados, identificado como modelV1, foi feito pela função fggpd, que é baseada no modelo de Behrens (2004) e modela a “não cauda” pela distribuição Gama e a cauda pela distribuição GPD.
3 Fonte: https://www.worldometers.info/coronavirus/#countries
Fonte: SusepPara os parâmetros da GPD, isto é, dos valores que estão na cau da, foram obtidos os seguintes resultados:
• O xi é negativo (-0,44), o que representa uma cauda leve, isto é, com poucos extremos, e a frequência de valores muito altos é menor do que a esperada.
• O sigma é um parâmetro que mostra a variabilidade do dado, de forma que, quanto maior o seu valor, maior a variabilidade. A estimativa do sigma foi de R$ 305,3 milhões e o intervalo de credibilidade entre R$ 309,9 e R$ 305,5 milhões.
• O u representa o limiar da cauda. O valor de R$ 725,9 mi lhões corresponde ao início da cauda, isto é, abaixo desse limite os dados seguem uma distribuição Gama e, acima, a distribuição GPD.
Para os parâmetros da Gama (valores que não estão na cauda), foram observados:
• O mu, que é o parâmetro da distribuição Gama, apresentou o valor de R$ 439,1 milhões, representando a média da Gama. Essa média denota o valor de indenizações mensais pagas.
• O eta representa a forma da Gama, pois ele é a estimativa do alpha da distribuição. O eta da Gama corresponde a 12,74, com intervalo entre 10,26 e 14,91.
Através da função return_level, pode-se obter a estimativa de valores a cada t períodos. A decisão dos períodos de t é do autor do modelo e baseado na informação a priori (informação que o pesquisador tem sobre o comportamento da variável). Para esse modelo, foram selecionados 12, 36, 60, 120, 240 e 300 meses. Os resultados do modelo com a função fggpd mostram que valores aci ma de R$ 1 bilhão são esperados a cada 240 meses, ou seja, 20 anos.
O segundo ajuste nos dados, identificado como modelV2, foi feito pela função fmgpd, utilizando o modelo de Nascimento et al. (2012), modelando a “não cauda” pela mistura de distribui ções Gama e a cauda pela distribuição GPD. A construção de um modelo de mistura de família de distribuições Gama é feita com base nos resultados teóricos de De Vore e Lorenz (1993) Asmussen (1987), Wiper et al. (2001) que usaram as misturas de densidades Gama para aproximar qualquer densidade definida em [0, ∞].
O conceito de mistura de distribuições surge como alternativa para solucionar problema da grande disparidade que, em muitos casos, pode ocorrer entre a variância amostral e a variância do modelo (variância teórica). Esse problema pode ser solucionado partindo da hipótese de que existam subpopulações dentro de uma população geral, conseguindo-se assim, diminuir considera velmente a superdispersão (Venturini, 2013).
No modelV2, foi utilizado k=2 na função fmgpd, como o núme ro de componentes na mistura de Gamas. Foi um número defini do arbitrariamente, apenas com o intuito de comparar os resulta dos dos modelos.
Para os parâmetros da GPD, isto é, dos valores que estão na cau da, foram obtidos os seguintes resultados:
• O xi é positivo (0,22), representando uma cauda mais pesada, isto é, com mais valores extremos.
• O sigma (parâmetro de variabilidade dos dados) apresentou estimativa de R$ 209,2 milhões e o intervalo de credibilidade entre R$ 209,1 e R$ 206,6 milhões.
• O u limiar da cauda, foi estimado em R$ 725,9 milhões para o início da cauda, isto é, abaixo desse limite os dados seguem uma distribuição Gama e, acima, a distribuição GPD.
Para os parâmetros das duas Gamas (valores que não estão na cauda), foram observados:
• O mu1 , com valor de R$ 414,4 milhões representa a média da distribuição Gama 1, sendo a média de indenizações mensais pagas.
• O mu2 , com valor de R$ 593,5 milhões representa a média da distribuição Gama 2, sendo a média de indenizações mensais pagas.
Duas novas variáveis são incorporadas nessa função, o w1 e w2, que representam o peso que as distribuições Gama têm no resul tado. Eles mostram que a distribuição Gama 1 tem maior peso no ajuste dos dados.
A função return_level com a estimativa de valores desse modelo a cada 12, 36, 60, 120, 240 e 300 meses mostrou que valores acima de R$ 1 bilhão são esperados a cada de 60 meses.
Para a definição do melhor modelo na análise Bayesiana, é feita a comparação de modelos (ou check of convergence) através do Baye sian Information Criterion (BIC) e do Deviance Information Criterion (DIC). O modelo adequado será aquele que tiver os menores valores para a estatística DIC. No caso dessa simulação, foi o modelV2.
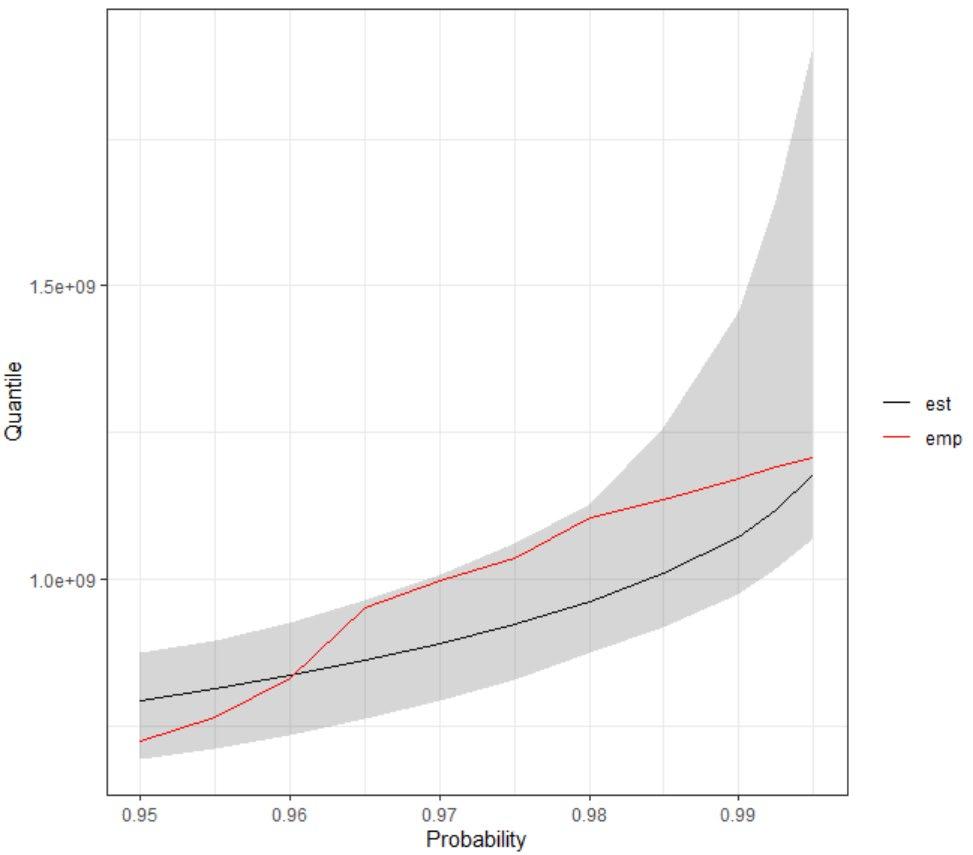
No gráfico dos quantis do modelV2, observa-se a linha preta que corresponde aos valores estimados pelo modelo; a linha verme lha, aos valores empíricos do modelo e a área cinza, ao intervalo de confiança do modelo. Mesmo com a estimativa do resultado empírico se tornando mais discrepante com o aumento dos quan tis, ela se mantém dentro do intervalo de confiança.
A diferença entre os dois resultados é expressiva. O modelo 1 dá uma ocorrên cia esperada acima de R$ 1,0 bilhão a cada 20 anos, enquanto o modelo 2, mais adequado, de apenas 5 anos. Por se tratar de um modelo bayesiano, a definição de qual melhor modelo utilizar deve ser baseada na infor mação a priori que o autor tenha. Nesse caso e dadas as especificidades dos dados (dados gerais e não segre gados), observou-se que o melhor modelo, que gerou menor DIC, foi o modelo 2 com a mistura de Gamas, sendo a melhor alternativa para solucionar problema de grande disparidade entre os dados.
A proposta foi apresentar a Teoria dos Valores Extemos como uma importante fer
Quantile empest 0.95 0.96 0.97 0.98 0.99 Probability
ramenta para modelos de ajuste de dados que auxi liam na previsão, precifica ção e cálculo de capital de risco para diversos tipos de seguros. A partir do modelo
GAMERMAN, D. e LOPES, H. F. (2006) Markov chain Monte Carlo: Stochastic Simulation for Bayesian Inference, 2a. edição, Chapman & Hall.
NASCIMENTO, F.F. (2012) Modelos Probabilísticos para dados Extremos: Teoria e aplicações. In: II COLÓQUIO DE MATEMÁTICA DA REGIÃO NORDESTE, 2012. Teresina, Piauí. Universidade Federal do Piauí.
é possível ampliar sua aplicação de forma a adequá-la à realidade de cada empresa, por tipos de produtos e até mesmo por tipos de coberturas.
NASCIMENTO, F.F. e Bourguignon, M. e Leão, J. S. (2015) Extended generalized extreme value distribution with applications in environmental data. HACET J MATH STAT, 2015.
CASTELLANOS, M. A. e CABRAS, S. (2007) A default Bayesian procedure for the generalized Pareto distribution. JSPI, 2007, 137, 473-483.
VENTURINI, A. T. (2013) Modelo de mistura de distribuições independenteapresentado,.
Ainda que nosso território esteja livre de ter remotos e erupções vulcânicas, eventos extremos relacionados ao clima têm se tornado cada vez mais comuns e intensos. Observa mos em diversos estados perdas expressivas na agricultura, o que tem impacto direto no seguro rural, por exemplo. O índice de sinis tralidade, acumulado de 12 meses, atingiu 133,4%, até junho deste ano. Essa situação já impacta oferta de seguros agrícolas para o ci clo 2022 e 2023. O resultado poderá ser uma menor oferta de seguro no mercado e ajustes nos prêmios em relação a anos anteriores.
A Letra de Risco de Seguro, criada recente mente pela Lei 14.430/2022, pode ser uma alternativa para o aumento da oferta de pro teção por meio do seguro. Por meio desse ins trumento, os riscos do setor de seguros e de resseguros são transferidos para o mercado de capitais por meio de títulos de dívida. A rentabilidade desses títulos está atrelada ao desempenho (sinistralidade) dos riscos vincu lados à dívida emitida.
A expectativa geral é bastante positiva em rela ção a essa nova operação no mercado brasileiro, principalmente quando se leva em considera ção a experiência internacional. O instrumen
to já é difundido no exterior, os chamados de cat bonds e outros insurance linked securities (ILS). Em 2021, as emissões alcançaram US$ 20,3 bilhões1. Criados primeiramente como títulos de dívida relacionados a eventos catastróficos, viu sua utilização ampliada para riscos relacio nados à longevidade, à mortalidade ou mesmo a hipotecas. Um dos setores que mais utilizam esse tipo de instrumento é justamente o agro negócio, para respaldar a cobertura de riscos climáticos como geadas e excesso de chuvas que possam afetar uma safra, por exemplo.
Apesar da recente publicação da Lei, o tema não é novidade no âmbito do mercado de se guros brasileiro. Em dezembro de 2020, com a publicação da Resolução CNSP 396, a Susep trouxe esse tipo de instrumento para dentro do arcabouço regulatório do setor. Essa reso lução dispõe sobre operações de resseguro ou retrocessão e seu financiamento por meio de dívida vinculada a riscos de (res)seguro, batizada como instrumento ligado a seguro, aproveitando a sigla ILS como esse instru mento é conhecida no exterior. Criou-se também o ressegurador local (RPE), cujo propósi to exclusivo é a aceitação de riscos por meio de operações de resseguro ou retrocessão e o financiamento feito pelo ILS.
O RPE deve aprovar previamente com a Susep cada operação a ser efe tuada de aceitação de riscos e consequente emissão de ILS.
O RPE somente poderá proceder a uma nova emissão de ILS quando a anterior estiver plenamente liquidada, ou seja, sem riscos a decorrer, sem sinistros a pagar e sem recursos a serem devolvidos aos adquiren tes do ILS. Isso é justificado pela ausência de segregação de patrimônio para fazer frente ao risco de cada operação. Para que que esse mesmo efeito fosse observado na prática, seria necessária a criação de um RPE diferente para cada operação de captação realizada no mercado de capitais por meio de ILS, cada uma com patrimônio exclusivamente vinculado a uma emissão.
A publicação da Lei 14.430/2022 ofereceu novo formato de emissão desses instrumentos, aprimorando o mecanismo já existente. A Lei criou a Letra de Risco de Seguro (LRS) e a Sociedade Seguradora de Propósito Específico (SSPE). A LRS é um título de crédito nominativo, transferível e de livre negociação, representativo de promessa de pa gamento em dinheiro, vinculado a riscos de seguros e resseguros, emi tido exclusivamente pela SSPE. A SSPE é a sociedade seguradora que tem como finalidade exclusiva realizar uma ou mais operações, inde pendentes patrimonialmente, de aceitação de riscos de seguros, previ dência complementar, saúde suplementar, resseguro ou retrocessão de uma ou mais contrapartes e seu financiamento por meio de emissão de LRS, instrumento de dívida vinculada a riscos de seguros e resseguros.
O principal avanço trazido pela lei é a independência patrimonial das operações. Ou seja, cada operação de aceitação de riscos de (res)se guros financiada pela emissão de LRS terá independência patrimonial
em relação às demais operações realizadas pela SSPE e em relação à própria SSPE. Isso permite a blindagem do patrimônio da SSPE, que será atrelado a cada emissão de LRS e, consequentemente, o lastro do investimento no título. Isso tornou possível a emissão simultânea de várias LRS, pela SSPE, enquanto o RPE somente poderá proceder a uma nova emissão ILS, quando a anterior estiver plenamente liquidada.
O novo modelo é percebido como de maior eficiência, dado que uma única seguradora poderá agrupar diversos riscos de seguros para fazer frente a múltiplas emissões sem que os investidores de cada emissão de LRS tenham seu risco contaminado ou compartilhado com outras emissões dessa mesma SSPE.
A Lei ainda carece de regulamentação, seja pelo CNSP, de aspectos como: i) estabelecer as diretrizes e as normas referentes aos contratos e à aceitação dos riscos de seguros e resseguros, do seu financiamento via emissão de LRS e das condições da emissão; ii) regulamentar limites e restrições, quando aplicáveis, nas operações; iii) estabelecer a forma e as condições para o registro e o depósito da LRS e iv) determinar as de monstrações financeiras a serem elaboradas pela SSPE, a sua periodicida de e a necessidade de auditoria efetuada por auditores independentes; seja pela CVM, em relação a aspectos de distribuição e oferta pública. Ato conjunto da Susep e da CMN disciplinará a atuação, os requisitos, as atribuições e responsabilidades do agente fiduciário nas operações e, no que couber, a legislação aplicável às sociedades seguradoras. Espera-se que tais regulamentações busquem orientação nas regras já debatidas e estabelecidas pelo CNSP, para a emissão dos ILS, pelos RPEs.
Apesar de o tema requerer uma série de debates antes de se concretizar de fato como uma alterativa eficaz, enquanto aguarda regulamenta ção, a expectativa é que esse novo instrumento traga a possibilidade de novas formas de transferência de riscos, com possibilidade de redução de custos e melhores preços para o consumidor final. Incentive a inova ção e fomente o desenvolvimento do mercado de seguros brasileiro.
Com base nas projeções de mercado compi ladas pelo Relatório Focus do Banco Central do Brasil e de modelos estatísticos univaria dos, estimados com dados disponíveis até a data de corte1, a Superintendência de Estu dos e Projetos da CNseg, com colaboração do economista Luiz Roberto Cunha, da PUC-Rio, elabora os cenários macroeconômicos para as variáveis exógenas utilizadas na estima ção dos modelos de projeção de arrecadação dos mais diversos ramos e agrupamentos de ramos do setor de seguros.
O resultado da análise dessas variáveis, de suas inter-relações e da coerência interna de cada cenário pode ser visto na tabela2 ao lado, que apresenta os cenários elaborados para as principais variáveis macroeconômicas utilizadas no exercício das projeções.
2022 Cenário Base
PIB real (variação)
PIB indústria real (variação)
IPCA Produção(variação)industrial (variação)
Câmbio (R$/US$)
Fontes: Estimativas elaboradas com base no Relatório Focus do Banco Central do Brasil de 08/08/20221
Nota: Os valores podem diferir daqueles do Relatório Focus, pois eles servem apenas de base para elaboração dos cenários.
Conforme dados do IBGE, o PIB cresceu 1,2% no segundo trimestre do ano em relação ao tri mestre imediatamente anterior na série com ajuste sazonal e, quando comparado ao mesmo trimestre do ano anterior, houve crescimento de 3,2%. No acumulado em quatro trimestres, a atividade econômica cresceu 2,6%.
1 08/08/2022 (Última data de divulgação em razão da greve dos servidores do Banco Central).
2 O conjunto de variáveis exógenas utilizadas nos diversos modelos de projeção de arrecadação é muito mais amplo do que o reproduzido aqui, contando atualmente com cerca de 50 séries temporais, todas oriundas de bases de dados públicas.
O setor de serviços deverá continuar lideran do a retomada do crescimento, pelo aumento da demanda ainda reprimida por questões li gadas à pandemia. Entretanto, a intensidade dessa retomada, se mais ou menos acelerada, será determinante para o resultado do PIB no ano. A alta das commodities, por um lado, deu impulso ao crescimento no início do ano. Por outro, pesou na inflação. Importante lembrar que 2022 é um ano de eleições presidenciais no Brasil, fato que poderá contribuir para o aumento da volatilidade e da desaceleração da economia no segundo semestre, período em que também sentiremos com mais força os efeitos do atual ciclo de aumento dos juros
básicos. Para o 2º semestre, os estímulos visan do ao aumento das transferências de renda –aprovados a partir da PEC das Bondades – po derão gerar impactos positivos no comércio, além dos serviços, e deverão elevar o PIB para 1,96%, no cenário base.
A indústria desacelerou no acumulado até o 2º trimestre de 2022 e poderá ainda con tinuar a enfrentar problemas com preços de insumos e desorganização de cadeias globais de produção em 2022. A guerra entre Rússia e Ucrânia e o aumento de casos de Covid-19 na China (os surtos de contaminação em Xangai, que abriga o maior porto de contêineres
do mundo, levaram ao lockdown no início de abril deste ano) contribuíram para atrasar a normalização da oferta de suprimentos para a indústria. Pressão dos custos e os impactos da cadeia global de insumos levam a proje ção para o PIB indústria em 0,46% para 2022.
Para a Selic, o Banco Central, na última reu nião do Copom (Comitê de Política Monetá ria), em 03/08/2022, aumentou a taxa para 13,75% a.a. e mostrando-se mais data-dependent, isto é, mais dependente da evo lução dos dados, que, mais recentemente, apontam na direção da manutenção da Selic nesse patamar por algum tempo. Nesse sen tido, a projeção para a Selic ao final de 2022 ficou em 13,75% a.a.
A inflação ao consumidor tem seguido rela tivamente alta (até julho, apresentou varia ção acumulada em doze meses de 10,07%), entretanto, está em desaceleração, tendo tido deflação de 0,68% em julho. Como esperado, destacou-se a deflação da energia elétrica (5,78%) e da gasolina (15,48%). O resultado do IPCA teria sido ainda mais bai xo não fosse a forte alta do grupo Alimenta
No primeiro semestre do ano, sem Saúde e DPVAT, o setor de seguros movimentou mais de R$ 168 bilhões em prêmios de seguros, contribuições em previdência privada e fa turamento de capitalização. Esse montante representa crescimento de 16,3% sobre o mesmo período do ano anterior.
ção e Bebidas, que subiu 1,30% por conta da inflação do preço do leite e derivados. Mas há sinais de que o forte ajuste nos juros tam bém começa a fazer efeito nos preços mais sensíveis à política monetária: núcleos e índi ces de difusão, apesar de ainda estarem em patamares altos, desaceleraram. O mesmo ocorreu com os serviços subjacentes. Analistas projetam que índices apontando deflação po dem continuar a ocorrer nos próximos meses, trazendo para baixo as projeções para o IPCA neste ano. Sendo assim, a expectativa para o IPCA, em 2022, situou-se em 7,10%.
O cenário externo seguirá incerto, com a esperada desaceleração das maiores econo mias do mundo no contexto do aperto mo netário promovido para controlar a inflação, que atingiu os níveis mais altos em quatro décadas. Ainda que arrefecendo em relação aos picos atingidos este ano, os preços de commodities não devem voltar, no cenário base, aos preços de antes da pandemia e isso favorece o real. Por outro lado, o contexto de fortalecimento do dólar joga na direção contrária. Assim, a taxa de câmbio foi proje tada em R$/US$ 5,25 em 2022.
As Projeções de Arrecadação do Mercado Se gurador para 2022 foram elaboradas conside rando as expectativas econômicas descritas na seção anterior e, a partir do desempenho dos segmentos, descritos a seguir, a projeção é de que setor de seguros (sem Saúde e DPVAT) cresça, em termos nominais, 13,7% em 2022.
O segmento dos seguros de Danos e Responsabilidades (sem DPVAT) segue com tendência de crescimento da demanda e, quando obser vada pela ótica em 12 meses móveis até junho, avançou 19,6% o vo lume de prêmio. Quanto ao seguro Automóvel, que aumentou a sua arrecadação em 20,3% no acumulado em 12 meses móveis até junho, é projetado que encerre o ano com crescimento de 26,0% no cenário base. Observa-se que o aumento no volume de prêmio, assim como no pagamento de sinistros (até junho, o pagamento de sinistro acumulou alta de 39,1% em 12 meses móveis), está relacionado à expressiva valo rização que os carros usados e seminovos têm apresentado desde 2021, como reflexo da redução na oferta de veículos novos. Os preços dos usa dos registraram alta de 14,30% no acumulado em 12 meses até agosto, mas essa alta chegou a 22,32% no acumulado em doze meses até maio de 2022, conforme dados da Tabela Fipe (utilizada como referência na precificação do seguro).
Nos seguros Patrimoniais, os três subgrupos (Massificados, Riscos de En genharia e Grandes Riscos) têm apresentado bom desempenho e, nos últimos doze meses até junho, o grupo acumulou crescimento de 18,7%. Para 2022, foi considerado que a demanda mantenha a trajetória ascen dente apresentada até o momento e os seguros Patrimoniais encerrem o ano avançando 18,9% no volume de arrecadação quando comparado a 2021, no cenário base.
Os Índices de Confiança da FGV são indicadores importantes para ava liação das expectativas de diversos setores da economia. O Índice de Confiança do Consumidor (ICC) mostra que, após um movimento de alta em junho, a confiança dos consumidores ficou acomodada em julho. Os efeitos dos estímulos concedidos pelo Governo parecem perder força. Os consumidores ainda estão resistentes para retornar ao patamar pré -pandemia, mesmo com a melhora do cenário pandêmico através do aumento da vacinação, pois surgem preocupações com a empregabili dade, a renda e as perspectivas futuras por conta de um ano eleitoral. Para os empresários, a confiança, em julho, subiu pelo quinto mês con secutivo. A liberação de recursos adicionais, como o saque parcial do FGTS para estimular a demanda, por exemplo, promoveu o aumento da confiança do comércio e do setor de Serviços. A confiança do setor industrial, após acumular três altas consecutivas, voltou a cair em julho.
Os motivos citados no relatório estão relacionados às expectativas me nos favoráveis dos níveis elevados de inflação e de juros até o final do ano, além do aumento da incerteza política durante o período eleitoral.
Ainda no segmento Danos e Responsabilidades, para o seguro Habitacional, será im portante observar o impacto do aumento da taxa Selic nas taxas de juros dos financiamen tos imobiliários. A projeção de crescimento para a arrecadação do seguro Habitacional, em 2022, é de 12,8% no cenário base.
Os seguros de Transportes acumularam cres cimento de 22,7% nos 12 meses até junho, acompanhando a tendência de expansão no fluxo de veículos pesados nas rodovias, medido pelo Índice ABCR (Associação Brasileira de Concessionárias de Rodovias), utilizado como indicador antecedente ao desempe nho do seguro de Transporte. Na mesma mé
trica até julho, o índice cresceu 1,8% sobre o mesmo período imediatamente anterior. Para os próximos meses, a resiliência da produção industrial em relação a todo o contexto que afeta a cadeia produtiva, tais como a oferta de suprimentos e a pressão dos custos, será crucial para o desempenho do setor de trans porte de cargas e logística e podendo afetar eventualmente o desempenho do seguro de Transportes. A projeção de crescimento do volume de prêmio para o seguro, em 2022, ficou em 14,5% no cenário base.
A Pesquisa Mensal de Comércio (PMC) de junho, divulgada pelo IBGE, mostrou que o setor de móveis e eletrodomésticos, após
Fonte: IBGE / FGBalta em abril (2,0%), voltou a cair em maio (-3,1%) e em junho (-0,7%), na comparação com o mesmo mês do ano anterior. Para o se gundo semestre de 2022, ocorrerão a Black Friday e as vendas de final de ano que ten dem a movimentar o setor de bens duráveis. Nesse sentido, a projeção para o seguro Ga rantia Estendida, em 2022, prevê crescimento de 5,1% no cenário base.
O seguro Rural cresceu 40,1% em 12 meses até junho sobre o mesmo período do ano anterior. O produto tem sido muito demandado desde 2021, especialmente em razão do aumento de eventos climáticos severos. Para 2022, o Minis tério da Agricultura, Pecuária e Abastecimento (Mapa) liberou, em subvenção, R$ 990 milhões para o seguro Rural que possibilitará a contra tação de aproximadamente 140 mil apólices em todo o País. Entretanto, a Confederação da Agricultura e Pecuária do Brasil (CNA) informa que, para o seguro atender a mesma deman da do ano passado, será necessária a suplementação de R$ 710 milhões, totalizando R$ 1,7 bilhão em subvenção. Seguno a CNA, esse valor é importante para que se possa manter a política de gestão de risco aos produtores rurais. Desse modo, a projeção para o seguro Rural, em 2022, ficou em 23,8%. Foram consi derados como influenciadores desse resultado o efeito de uma base de comparação mais alta em 2021 e o forte aumento da sinistralidade observada até junho de 2022. As indenizações pagas em 2022 alcançaram o montante de R$ 8,5 bilhões, valor 227,0% maior do que o do primeiro semestre de 2021.
De forma geral, conjugando os resultados de todo os produtos de Danos e Responsabili dades, é esperado que o segmento siga am pliando a oferta de suas coberturas em 2022, o que manteria o patamar de crescimento
registrado até o momento, com avanço de 20,5% no cenário base.
O segmento Cobertura de Pessoas expandiu 7,1% o montante acumulado nos doze meses até junho, na comparação com o mesmo pe ríodo do ano anterior. O crescimento de dois dígitos é esperado no cenário base para 2022, alcançando 10,6%. Os Planos de Acumulação representam mais de 70% do segmento, e a previsão para 2022 é de que as contribuições mantenham a tendência ascendente e encerrem o ano com alta de 9,7% no cenário base. Dados divulgados pela PNAD Contínua do IBGE mostram que o rendimento médio mensal real domiciliar per capita foi de R$ 1.353 em 2021 (menor valor da série históri ca desde o seu início, em 2012). A massa do rendimento mensal real domiciliar per capita caiu 6,2% na comparação com 2020, sendo o segundo menor valor desde 2012.
Ainda no segmento Cobertura de Pessoas, a previsão de crescimento para os Planos de Risco é de 13,0% no cenário base. Com o arre fecimento da pandemia, através do aumento da vacinação e do controle da contamina ção, a procura pelo seguro Viagem, que faz parte do grupo dos Planos de Riscos, voltou a aumentar. Até junho de 2022, no acumu lado em doze meses, o seguro Viagem cres ceu 206,1% (na mesma métrica, em março, o avanço foi de 160,3%), quinto mês consecu tivo de expressiva variação positiva, visto que desde o início da pandemia o seguro vinha apresentando apenas resultados negativos.
O faturamento dos Títulos de Capitalização avançou 10,3% nos 12 meses findos em ju nho. A previsão é de que, em 2022, o seg mento continue crescendo, com avanço de 13,0% no cenário base.
Notas: SES (SUSEP) – Dados até: junho de 2022.
Utiliza-se como arrecadação de saúde a conta 311 – Contraprestação Líquida / Prêmios Retidos.
Por questões metodológicas de tratamento à base de dados bruta, os dados oriundos da ANS podem estar aqui apresentados de forma diferente e sem considerar ajustes pontuais praticados pela FenaSaúde.
Atualizado em agosto de 2022.
Os valore 2022 poderão sofrer alterações pelas Federações.
1
As publicações selecionadas para compor o capítulo desta edição da Conjuntura CNseg abordam diversas temáticas relacionadas à atividade seguradora, na forma de trabalhos para discussão, livros e artigos acadêmicos, além de teses e dissertações de mestrado e doutorado nas mais diversas áreas do conhecimento.
Envie sua sugestão de Produção Acadêmica em Seguros para estudos@cnseg.org.br.
Os resultados e análises do relatório Quantificação da fraude no mercado de seguros brasileiro mostram a consolidação dos dados coletados entre as seguradoras por intermédio do SQF – Sistema de Quantificação da Fraude. Por esse sistema, alimentado pelas próprias seguradoras, em todos os ramos de segu ro (com exceção de Saúde Suplementar, Capitalização e Previdência Complemen tar), desde 2004, são gerados anualmente indicadores de fraude contra o seguro, compondo-se assim uma inédita série histórica dessas ocorrências em importantes segmentos do setor segurador. O objetivo do relatório é informar a sociedade e ajudar na redução das fraudes que aumentam os custos das operações de seguros e, consequentemente, seu preço. Segundo o relatório, “atuar na redução das frau des é agir a favor do consumidor”.
Nome: Quantificação da fraude no mercado de seguros brasileiro Tipo de Publicação: Relatório Instituição/Publicação: CNseg Período: 2022
Autora: https://cnseg.org.br/publicacoes/19-ciclo-do-sqf-relatorio-completo-de-2021.htmlCNseg
Idealmente, a expectativa de vida deveria ser uma função decrescente da idade. Quando tal fato não é observado, ocorre o chamado paradoxo da tábua de mortalidade. O arti go O paradoxo da tábua de sobrevivência: o Brasil já o superou? investigou o momento (e métricas de saúde atuais) em que o Brasil e suas Unidades da Federação (UF) superaram (ou esperam superar) esse paradoxo, a partir da análise de milhares de tábuas de mortalidade. Examinadas as UFs separadamente, grande heterogeneidade foi ob servada. Em uma perspectiva de planejamento público, o autor entende que alcançar o balanceamento das tábuas de mortalidade é um objetivo a ser perseguido, especialmen te porque ter uma tábua desbalanceada significa que a expectativa de vida ao nascer ainda é fortemente influenciada pelos altos níveis de mortalidade infantil. Assim, esse conhecimento pode ajudar planejadores a definir estratégias apropriadas para acelerar o processo de balanceamento e reverter cenários de desigualdade.
Nome: O paradoxo da tábua de sobrevivência: o Brasil já o superou?
Tipo de Publicação: Artigo
Instituição/Publicação: Revista Brasileira de Estudos de População (Rebep)
Período: 2021
Autor: Filipe Costa de Souza
O seguro de Responsabilidade Civil Profissional garante a cobertura da perda financeira em decorrência de uma ação judicial ou extrajudicial, sem afetar o patrimônio do profis sional. O artigo A responsabilidade civil médica e a importância do seguro tem como objetivo disseminar mais informações sobre o tema, bem como a importância da contratação do seguro de Responsabilidade Civil Profissional, a fim de proteger a repu tação e o patrimônio, principalmente na medicina, diante do crescimento das demandas judiciais envolvendo responsabilidade civil médica.
Nome: A responsabilidade civil médica e a importância do Seguro
Tipo de Publicação: Artigo de opinião
Instituição/Publicação: Revista Apólice
Período: Agosto/2022
Autora: Bruna Carolina Bianchi de Miranda
https://www.revistaapolice.com.br/2022/08/a-responsabilidade-civil-medica-e-a-importancia-do-seguro-de-rc/https://rebep.org.br/revista/article/view/1686/1155
5
Em um país emergente e continental como o Brasil, tanto o mercado de seguros como o de resseguros tem muito a contribuir para a formação de poupança interna e a co bertura de grandes riscos. Em Mercado de seguros é fundamental para infra estrutura brasileira avançar, os autores nos mostram a importância do mercado de seguros e de resseguros como contribuinte para a formação de poupança interna e da cobertura de grandes riscos que grandes obras envolvem. É esse segmento que tem conquistado relevância por dar proteção às relações econômicas com seus interesses sociais e financeiros na vida de todos.
Nome: Mercado de seguros é fundamental para infraestrutura brasileira avançar
Tipo de Publicação: Artigo de opinião
Instituição/Publicação: Apólice
Período: Julho/2022
Autor: Luiz Araripe
-brasileira-avancar/https://www.revistaapolice.com.br/2022/07/mercado-de-seguros-e-fundamental-para-infraestruturaAENS(EscoladeNegócioseSeguros)estápromovendováriasiniciativasnoâmbitodainovação.UmasdelaséolançamentodoDiretórioInsurtechs,projetoquecompilaasprincipaisaçõeseiniciativasdas
startups e empresas inovadoras brasilei ras do setor de seguros. Em formato de e-book, o Diretório está dividido em duas partes: a primeira descreve a história das principais e mais relevantes insurtechs do País e a segunda apresenta o uso e as aplicações das novas tecnologias no mercado de seguros.
Nome: Diretório Insurtechs - ENS
Tipo de Publicação: Estudos e Pesquisas Instituição/Publicação: Escola de Negócios e Seguros (ENS) Período: Junho/2022
Autor: Samy Hazan
https://ens.edu.br:81/arquivos/Diretorio-InsurTechs.pdf
7
O artigo The added value of dynamically updating motor insurance prices with telematics collected driving behavior data descreve um produto de segu ro verdadeiramente baseado no uso (UBI), em que o prêmio é função dos hábitos e estilo de condução do segurado. Destacam-se os benefícios da telemática na melhoria dos processos de classificação de risco, focando questões gerenciais, analisando os lu cros esperados e as taxas de retenção sob essa nova modelagem de preços com base no UBI. A aplicação da tecnologia telemática na indústria de seguros apresenta muitas oportunidades. Por exemplo, a análise do comportamento de condução pós-acidente pode levar a atualizações que recompensem o comportamento melhorado com pena lidades menos severas ou uma convergência para os prêmios praticados inicialmente.
Nome: The added value of dynamically updating motor insurance prices with telematics collected driving behavior data
Tipo de Publicação: Artigo Instituição/Publicação: Insurance: Mathematics and Economics
Período: Julho/2022
Autores: Roel Henckaerts e Katrien Antonio
https://www-sciencedirect.ez24.periodicos.capes.gov.br/science/article/pii/S0167668722000385Tendocomobaseduasquestõescentraisnãoresolvidas,oartigoCyberrisk frequency, severity and insurance viability traz insights importantes sobre a na tureza da segurabilidade do risco cibernético. Além disso, aborda rigorosamente as variáveis mais significativas na explicação da frequência e a gravidade dos eventos de perda cibernética. Outro questionamento base da pesquisa é se o risco cibernético é segurável em relação aos prêmios exigidos, tamanhos de grupos de risco e como essa decisão varia de acordo com o setor e o tamanho da indústria das empresas seguradas.
Nome: Cyber risk frequency, severity and insurance viability
Tipo de Publicação: Artigo Instituição/Publicação: Insurance: Mathematics and Economics
Período: Setembro/2022
Autores: Matteo Malavasi, Gareth W. Peters, Pavel V. Shevchenko, Stefan Trück, Jiwook Jang e Georgy Sofronov.
https://www-sciencedirect.ez24.periodicos.capes.gov.br/science/article/pii/S0167668722000610
com mandato de 30/04/2022 a 29/04/2025
Porto Seguro Companhia de Seguros Gerais
1º IvanVice-PresidenteLuizGontijoJunior
Bradesco Seguros S/A
Vice-PresidentesLucianoSnelCorrêa
Icatu Capitalização S/A
Ricardo Bottas Dourado dos Santos Sul América Companhia de Seguro Saúde
Vice-Presidentes Natos
Antonio Eduardo Márquez de Figueiredo Trindade Federação Nacional de Seguros Gerais
Manoel Antonio Peres Federação Nacional de Saúde Suplementar
Edson Luis Franco Federação Nacional de Previdência Privada e Vida
Denis dos Santos Morais Federação Nacional de Capitalização
Dyogo Oliveira – Diretor-Presidente
Alexandre Leal – Diretor Técnico e de Estudos
André Vasco – Diretor de Serviços às Associadas
Allianz Seguros S/A
Eduardo Nogueira Domeque Itaú Seguros S/A
Eduardo Stefanello Dal Ri HDI Seguros S/A
Erika Medici Klaffke AXA Seguros S/A
Felipe Costa da Silveira Nascimento Mapfre Previdência S/A
Francisco Alves de Souza COMPREV Vida e Previdência S/A
Helder Molina Mongeral AEGON Seguros e Previdência S/A
José Adalberto Ferrara Tokio Marine Seguradora S/A
Leonardo Deeke Boguszewski Junto Seguros S/A
Marcelo Malanga Zurich Santander Brasil Seguros e Previdência S/A
Patricia Andrea Freitas Velloso dos Santos Prudential do Brasil Seguros de Vida S/A
Patricia Chacon Jimenez Liberty Seguros S/A
Pedro Cláudio de Medeiros B. Bulcão Sinaf Previdencial Cia. de Seguros
Pedro Pereira de Freitas American Life Companhia de Seguros S/A
Ullisses Christian Silva Assis Brasilprev Seguros e Previdência S/A
Genildo Lins de Albuquerque Neto – Diretor de Relações Institucionais
Glauce Carvalhal – Diretora Jurídica
Paulo Annes – Diretor de Administração e Finanças