Digital Listing Kit 4438 E Trotter Rd

Page 1


WIRE FRAUD ALERT THINK DIFFERENTLY

Email-based, real estate fraud schemes are on the rise. One common scenario is altering wiring instructions with the intention of rerouting funds.

Keeping this in mind, First American Title is changing the way we receive payment information. It is imperative that we are familiar with the people in our transactions.

RELYING ON EMAIL ALONE IS NO LONGER AN OPTION.

Fraudsters often use email to send falsified wire instructions to unsuspecting victims. Please warn your buyers and sellers to only follow wire instructions they receive personally from First American Title.

Additionally, we will not accept disbursement instructions for seller or buyer funds via email OR from any third party (attorney, real estate agent, etc).

ALTERNATIVE INSTRUCTIONS?

If your buyer or seller receives alternative wiring instructions that appear to be from First American Title, make sure they contact their escrow officer at a trusted phone number for confirmation.

Know that our wiring instructions do not change so any communication is suspect. Our banking institution is First American Trust.

IN SHORT – wire instructions will not be accepted by email. New wire instructions must be hand-carried or uploaded to the First American Secure Portal.

Thank you for joining First American Title in fostering a secure real estate transaction process. Have questions or concerns? Please contact our office or your escrow officer.

LIMITATION OF LIABILITY FOR INFORMATIONAL REPORTS

IMPORTANT -- PLEASE READ CAREFULLY:

This report is not an insured product or service or a representation of the condition of title to real property. It is not an abstract, legal opinion, opinion of title, title insurance commitment or preliminary report, or any form of Title Insurance or Guaranty. This report is issued exclusively for the benefit of the Applicant therefor and may not be used or relied upon by any other person. This report may not be reproduced in any manner without First Americans prior written consent. First American does not represent or warrant that the information herein is complete or free from error, and the information herein is provided without any warranties of any kind, as-is, and with all faults. As a material part of the consideration given in exchange for the issuance of this report, recipient agrees that First Americans sole liability for any loss or damage caused by an error or omission due to inaccurate information or negligence in preparing this report shall be limited to the fee charged for the report. Recipient accepts this report with this limitation and agrees that First American would not have issued this report but for the limitation of liability described above. First American makes no representation or warranty as to the legality or propriety of recipient's use of the information herein.

Disclaimer

This REiSource report is provided "as is" without warranty of any kind, either express or implied, including without limitations any warrantees of merchantability or fitness for a particular purpose. There is no representation of warranty that this information is complete or free from error, and the provider does not assume, and expressly disclaims, any liability to any person or entity for loss or damage caused by errors or omissions in this REiSource report without a title insurance policy.

The information contained in the REiSource report is delivered from your Title Company, who reminds you that you have the right as a consumer to compare fees and serviced levels for Title, Escrow, and all other services associated with property ownership, and to select providers accordingly. Your home is the largest investment you will make in your lifetime and you should demand the very best.

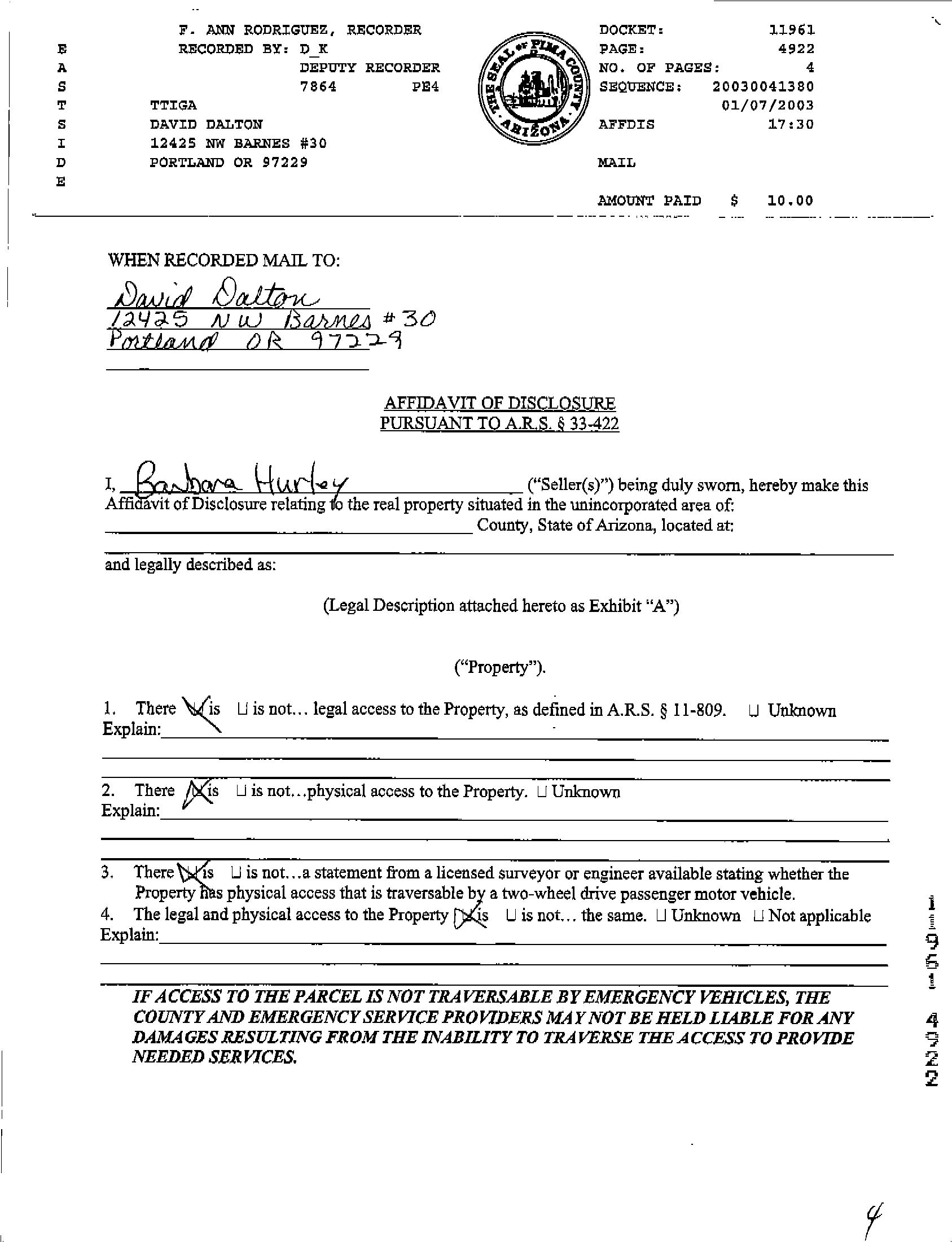
Subject Property :   4438 E Trotter Rd Tucson AZ 85739

Owner Information

Owner Name : Dalton David Christian

Mailing Address : 4438 E Trotter Rd, Tucson AZ 85739-8740 R019

Vesting Codes : / / Community Property

Owner Occupied Indicator : O

Location Information

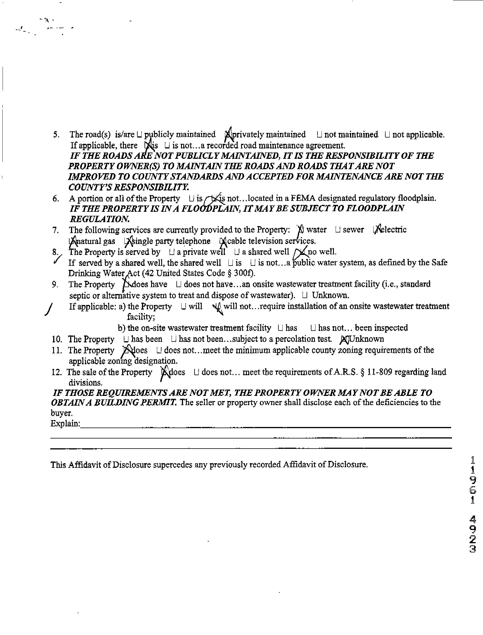
Legal Description : Ptn E356' W686' S165.36' N413/67' Sw4 Se4 1.17 Ac Sec 15-11-14

County : Pima, Az APN : 222-38-0450

Census Tract / Block : 47.27 / 1

Township-Range- Sect : 11S-14E-15

Market Area : 421

Owner Transfer Information

Recording/Sale Date : 11/22/2023 / 11/21/2023

Map Reference : 15-11S-14E

School District : Amphitheater

Munic/Township : Amphitheater

Deed Type : Special Warranty Deed Document # : 3260240

Last Market Sale Information

Recording/Sale Date : 01/07/2003 / 12/00/2002

Sale Price : $84,500

Document # : 11961-4901

Deed Type : Warranty Deed

1st Mtg Amount/Type : $76,050 / Cnv

Title Company : Title Guaranty

Lender : Miscellaneous Fin

Seller Name : Hurley Scott C & Barbara A

Prior Sale Information

Prior Rec/Sale Date : 10/04/1999 / 04/08/1999

Prior Sale Price : $73,250

Prior Doc Number : 11145-2151

Prior Deed Type : Warranty Deed

1st Mtg Int. Rate/Type : / Fixed Rate Loan

1st Mtg Document # : 11961-4904

1st Mtg Term : 30

Price Per SqFt : $66.02

Prior Lender : Cendant Mtg Corp

Prior 1st Mtg Amt/Type : $72,791 / Fha

Prior 1st Mtg Rate/Type : / Fixed Rate Loan

Property Characteristics

Gross Area : 1,280

Built / Eff : 1996 / 1996 Construction : Steel/wood Living Area : 1,280 # of Stories : 1 Property Information

Information

Details of Comparables

Subject Property: 4438 E Trotter Rd Tucson Az 85739

Owner Name: Dalton David Christian / APN / Alternate APN: 222-38-0450 / Deed Type: Warranty Deed

Subdivision / Tract: / Lot Size: 55,321

Rec. Date / Price: 01/07/2003 / $84,500 Living Area: 1,280

Document #: 11961-4901

Total Tax Value: $59,854

Bedrooms:

Bath(F/H): /

#1   15550 N Columbus Blvd Tucson Az 85739

Owner Name: Richards David M / APN / Alternate APN: 222-31-003A / Deed Type: Warranty Deed

Subdivision / Tract: / Lot Size: 94,525

Rec. Date / Price: 12/05/2023 / $267,750 Living Area: 1,352

Document #: 3390007

Total Tax Value: $109,203

#2   3828 E Hawser St Tucson Az 85739

Land Use: Mobile Home

Year Built / Eff: 1996 /1996

# of units:

Pool:

Land Use: Mobile Home

Year Built / Eff: 1982 /1982

# of units:

Bedrooms: Pool:

Bath(F/H): /

Owner Name: Schneider William B / APN / Alternate APN: 222-22-0430 / Deed Type: Warranty Deed

Subdivision / Tract: / Lot Size: 32,234

Rec. Date / Price: 05/31/2024 / $330,000 Living Area: 1,344

Document #: 1520217

Total Tax Value: $96,805

#3   4049 E Tortolita St Tucson Az 85739

Land Use: Mobile Home

Year Built / Eff: 1984 /1984

# of units:

Bedrooms: Pool:

Bath(F/H): /

Owner Name: Weisman Family Trust / APN / Alternate APN: 222-06-064A / Deed Type: Warranty Deed

Subdivision / Tract: / Lot Size: 43,560

Rec. Date / Price: 04/25/2024 / $258,000 Living Area: 1,152

Document #: 1160428

Total Tax Value: $102,761

#4   3747 E Tortolita St Tucson Az 85739

Bedrooms:

Bath(F/H): /

Owner Name: Ison Laura / APN / Alternate APN: 222-13-0490 / Deed Type: Warranty Deed

Subdivision / Tract: / Lot Size: 54,450

Rec. Date / Price: 12/28/2023 / $275,000 Living Area: 1,456

Document #: 3620377

Total Tax Value: $95,783

Bedrooms:

Bath(F/H): /

Land Use: Mobile Home

Year Built / Eff: 1996 /1996

# of units:

Pool:

Land Use: Mobile Home

Year Built / Eff: 1986 /1986

# of units:

Pool:

Name : Jeremiah Stiffler Customer Company Name : First American Prepared On : 08/12/2024

#5   4040 E Pinal St Tucson Az 85739

Owner Name: Smith Lesleigh Justin /Eufrisena Pena

APN / Alternate APN: 222-06-034B / Deed Type: Warranty Deed

Subdivision / Tract: / Lot Size: 43,560

Rec. Date / Price: 08/14/2023 / $100,000 Living Area: 1,200

Document #: 2260115

Total Tax Value: $88,756

#6   3855 E Bronco Ln Tucson Az 85739

Owner Name: Byerly John C /

Land Use: Mobile Home

Year Built / Eff: 1993 /1993

# of units:

Bedrooms: Pool:

Bath(F/H): /

APN / Alternate APN: 222-10-0290 / Deed Type: Warranty Deed

Subdivision / Tract: / Lot Size: 43,124

Rec. Date / Price: 03/28/2024 / $180,000 Living Area: 1,440

Document #: 880596

Total Tax Value: $97,955

Land Use: Mobile Home

Year Built / Eff: 1970 /1970

# of units:

Bedrooms: Pool:

Bath(F/H): /

Owner Name : Swearengin Terry Lee

Recording Date : 06/22/2020 Sale Date : 06/18/2020

Price  : $142,500

Total Value : $54,613

Tax : $633.10 Land Use : Mobile Home

Acres : 1.07 Stories : 1

1,440

Blt / Eff Yr Blt : 1990 / 1990

Owner Name : Mc Conachie Elizabeth Ann Recording Date : 06/01/1983 Total Value : $46,171

Price  : $30,000 Land Use : Mobile Home

Tax : $526.20 Stories : 1

Acres : 2.03

Blt / Eff Yr Blt : 1983 / 1983

Owner Name : Hastings Nora Lee

Date : 12/29/2004

Value : $34,500

Use : Residential Lot

Recording Date  : 01/11/2005 4426 E SILVER RANCH TRL

Owner Name : Palmer Jacqueline A

Sale Date : 04/00/1996

$628.90

Acres : 0.95

222-38-049D

Recording Date : 04/11/1996

Price  : $91,000 Total Value : $212,862

$1,497.96 Bed / Bath : / 2

Acres : 0.79 Land Use : Sfr

Area : 1,464

Stories : 1

222-38-048A Yr Blt / Eff Yr Blt  : 1997 /

Owner Name : Lebouton Albert V Iii

Sale Date : 08/19/2015

Recording Date : 09/01/2015

Price  : $69,000 Total Value : $85,778

Tax : $951.92 Land Use : Mobile Home

Acres : 1.01 Stories : 1

Blt / Eff Yr Blt : 1987 / 1987

Area : 960

Owner Name : Pima County Recording Date : 05/26/1998 Sale Date : 05/00/1998

Value : $109,000

Use : County Property

Price  : $4,600

Acres : 5.00

222-38-0410 14529 N DESERT SAGE LN

Owner Name : Haynes Elizabeth

Date : 06/04/2020

Value : $35,000

Use : Residential Lot

Price  : $27,000

$640.15

1.00

222-38-049C Recording Date  : 06/05/2020

Owner Name : Hawkins William E Recording Date : 12/01/2004 Sale Date : 11/00/2004

Total Value : $70,968

Land Use : Mobile Home

Stories : 1

Blt / Eff Yr Blt : 1983 / 1983

Price  : $220,000

Tax : $828.45

Acres : 2.50

Area : 1,632

Owner Name : Jankovsky Dennis P Recording Date : 08/17/2021

Sale Date : 07/13/2021

Total Value : $103,572

Land Use : Mobile Home

Stories : 1

Price  : $200,000

Tax : $1,330.24

Acres : 0.95

Area : 1,200 Yr Blt / Eff Yr Blt : 2000 / 2000

222-38-049B

Census Tract / block: 47.27 / 1     Year: 2020

Arizona Schools

PIMA COUNTY

SEARCH PARAMETERS

PARCEL:  222-38-0450

PARCEL: 222-38-0450

OWNER: DALTON DAVID  AFFIDAVIT    2023 3260240 11/22/2023

SITUS: 4438 E TROTTER RD TUCSON

MAIL: 4438 E TROTTER RD

LEGAL: PTN E356' W686' S165.36' N413/67' SW4 SE4 1.17 AC SEC 15-11-14

CURRENT TAXES

11145 2151 JD HALE RICHARD W/TAMMY L

10413 1973 JD HORNUNG TODD T

9798 1265 WD FOSTER MARY K/CORNELIA A

END SEARCH

Turn static files into dynamic content formats.

Create a flipbook
Issuu converts static files into: digital portfolios, online yearbooks, online catalogs, digital photo albums and more. Sign up and create your flipbook.