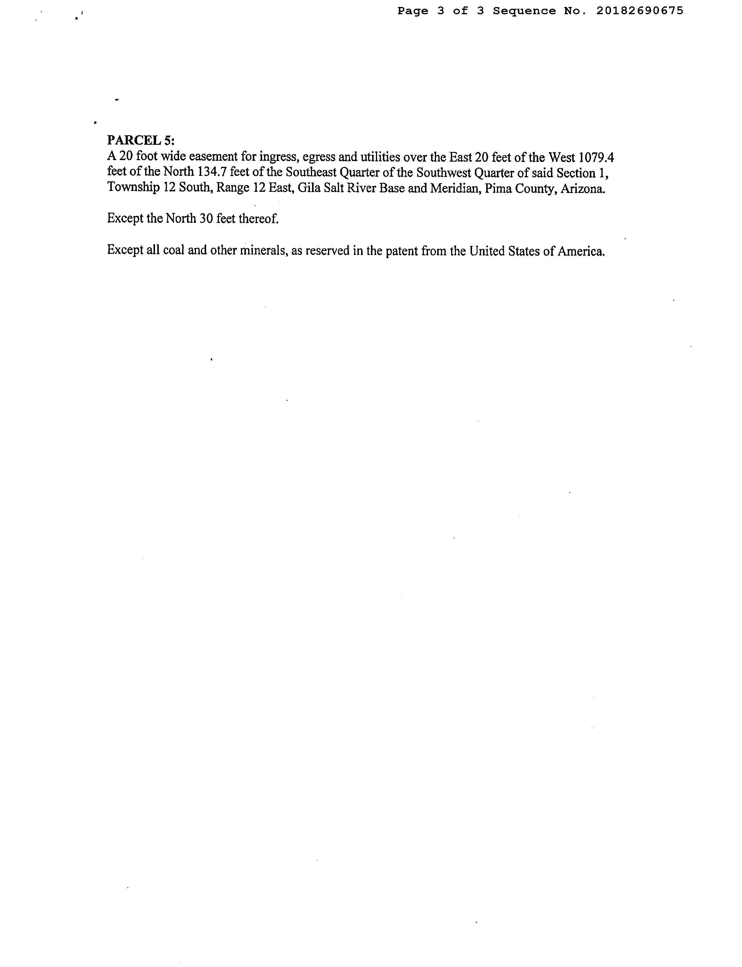
Digital Listing Kit 5028 W. Camino De Manana

Page 1


Subject Property

5028 W Camino De Manana Tucson AZ 85742

APN: 216-03-0220

Data Provided By: First American Title Ins Co

WIRE FRAUD ALERT THINK DIFFERENTLY

Email-based, real estate fraud schemes are on the rise. One common scenario is altering wiring instructions with the intention of rerouting funds.

Keeping this in mind, First American Title is changing the way we receive payment information. It is imperative that we are familiar with the people in our transactions.

RELYING ON EMAIL ALONE IS NO LONGER AN OPTION.

Fraudsters often use email to send falsified wire instructions to unsuspecting victims. Please warn your buyers and sellers to only follow wire instructions they receive personally from First American Title.

Additionally, we will not accept disbursement instructions for seller or buyer funds via email OR from any third party (attorney, real estate agent, etc).

ALTERNATIVE INSTRUCTIONS?

If your buyer or seller receives alternative wiring instructions that appear to be from First American Title, make sure they contact their escrow officer at a trusted phone number for confirmation.

Know that our wiring instructions do not change so any communication is suspect. Our banking institution is First American Trust.

IN SHORT – wire instructions will not be accepted by email. New wire instructions must be hand-carried or uploaded to the First American Secure Portal.

Thank you for joining First American Title in fostering a secure real estate transaction process. Have questions or concerns? Please contact our office or your escrow officer.

LIMITATION OF LIABILITY FOR INFORMATIONAL REPORTS

IMPORTANT -- PLEASE READ CAREFULLY:

This report is not an insured product or service or a representation of the condition of title to real property. It is not an abstract, legal opinion, opinion of title, title insurance commitment or preliminary report, or any form of Title Insurance or Guaranty. This report is issued exclusively for the benefit of the Applicant therefor and may not be used or relied upon by any other person. This report may not be reproduced in any manner without First Americans prior written consent. First American does not represent or warrant that the information herein is complete or free from error, and the information herein is provided without any warranties of any kind, as-is, and with all faults. As a material part of the consideration given in exchange for the issuance of this report, recipient agrees that First Americans sole liability for any loss or damage caused by an error or omission due to inaccurate information or negligence in preparing this report shall be limited to the fee charged for the report. Recipient accepts this report with this limitation and agrees that First American would not have issued this report but for the limitation of liability described above. First American makes no representation or warranty as to the legality or propriety of recipient's use of the information herein.

Disclaimer

This REiSource report is provided "as is" without warranty of any kind, either express or implied, including without limitations any warrantees of merchantability or fitness for a particular purpose. There is no representation of warranty that this information is complete or free from error, and the provider does not assume, and expressly disclaims, any liability to any person or entity for loss or damage caused by errors or omissions in this REiSource report without a title insurance policy.

The information contained in the REiSource report is delivered from your Title Company, who reminds you that you have the right as a consumer to compare fees and serviced levels for Title, Escrow, and all other services associated with property ownership, and to select providers accordingly. Your home is the largest investment you will make in your lifetime and you should demand the very best.

Subject Property :   5028 W Camino De Manana Tucson AZ 85742

Owner Information

Owner Name : Kustin Tr

Mailing Address : Po Box 68163, Tucson AZ 85737-8163 B002

Vesting Codes : / / Trust

Owner Occupied Indicator : A

Location Information

Legal Description : S198' N396' E220.04' W440.08' Se4 Sw4 1 Ac Sec 1-12-12

County : Pima, Az

Census Tract / Block : 46.39 / 1

Township-Range- Sect : 12S-12E-1

Market Area : 14

APN : 216-03-0220

Owner Transfer Information

Recording/Sale Date : 09/26/2018 / 09/19/2018

Document # : 2690675

Last Market Sale Information

Recording/Sale Date : 03/31/2014 / 03/24/2014

Sale Price : $345,000

Document # : 900416

Title Company : Long Title Agcy Inc

Seller Name : Yearin Mary K

Prior Sale Information

Prior Rec/Sale Date : 07/16/2004 / 07/00/2004

Prior Sale Price : $66,000

Prior Doc Number : 12345-5307

Prior Deed Type : Warranty Deed

Alternate APN : 216-03-008Q

Map Reference : 01-12S-12E

School District : Marana

Munic/Township : Marana

Deed Type : Special Warranty Deed

Deed Type : Warranty Deed

Price Per SqFt : $151.18

Prior Lender : M&i Marshall & Isley Bk

Prior 1st Mtg Amt/Type : $52,800 / Conv

Prior 1st Mtg Rate/Type : / Fixed Rate Loan

: 08/15/2024

Property Characteristics

Gross Area : 2,282

Living Area : 2,282

Total Rooms : 7

Year Built / Eff : 2006

# of Stories : 1

Parking Type : Garage

Property Information Land Use : Sfr

Information

Patio Type : Covered Patio

Roof Material : Built-up Air Cond : Refrigeration

Heat Type : Forced Air Quality : Fair

Cooling Type : Forced Air Condition : Excellent

Exterior wall : Frame Wood Bath Fixtures : 8

Details of Comparables

Subject Property: 5028 W Camino De Manana Tucson Az 85742

Owner Name: Kustin Tr / APN / Alternate APN:

216-03-0220 /216-03-008Q

Deed Type: Warranty Deed

Subdivision / Tract: / Lot Size: 43,560

Land Use: Sfr

Year Built / Eff: 2006 / Rec. Date / Price: 03/31/2014 / $345,000 Living Area: 2,282

Document #: 900416

Total Tax Value: $354,105

Bedrooms:

Bath(F/H): /

#1   10891 N Stonebridge Dr Tucson Az 85742

Owner Name: Cordova Ivan C / APN / Alternate APN: 216-26-0230 / Deed Type: Special Warranty Deed

Subdivision / Tract: Preserve/twin Peaks / Lot Size: 9,899

# of units:

Pool:

Land Use: Sfr

Year Built / Eff: 2023 / Rec. Date / Price: 11/30/2023 / $475,990 Living Area: 2,014

Document #: 3340574

Total Tax Value: $68,323

Bedrooms:

Bath(F/H): /

#2   10885 N Stonebridge Dr Tucson Az 85742

# of units:

Pool:

Owner Name: Calvelli Kimberlee A / APN / Alternate APN: 216-26-0220 / Deed Type: Special Warranty Deed Land Use: Sfr

Subdivision / Tract: Preserve/twin Peaks / Lot Size: 8,533

Year Built / Eff: 2023 / Rec. Date / Price: 12/20/2023 / $497,300 Living Area: 2,223

Document #: 3540479

Total Tax Value: $68,323

Bedrooms:

Bath(F/H): /

#3   10879 N Stonebridge Dr Tucson Az 85742

Owner Name: Wieber Family Living Trust / APN / Alternate APN: 216-26-0210 / Deed Type: Special Warranty Deed

Subdivision / Tract: Preserve/twin Peaks / Lot Size: 7,935

# of units:

Pool:

Land Use: Sfr

Year Built / Eff: 2023 / Rec. Date / Price: 11/13/2023 / $499,990 Living Area: 2,223

Document #: 3170447

Total Tax Value: $68,323

# of units:

Bedrooms: Pool:

Bath(F/H): /

#4   10873 N Stonebridge Dr Tucson Az 85742

Owner Name: Phillips C A & L M Livin Trust / APN / Alternate APN: 216-26-0200 / Deed Type: Special Warranty Deed Land Use: Sfr

Subdivision / Tract: Preserve/twin Peaks / Lot Size: 7,920

Year Built / Eff: 2023 / Rec. Date / Price: 10/31/2023 / $474,990 Living Area: 2,014

Document #: 3040451

Total Tax Value: $68,323

# of units:

Bedrooms: Pool:

Bath(F/H): /

Name : Jeremiah Stiffler

Company Name : First American Prepared On : 08/15/2024

#5   5197 W Brentwood Ln Tucson Az 85742

Owner Name: Mostoff Barbara M Livi / APN / Alternate APN: 216-26-0250 / Deed Type: Special Warranty Deed

Subdivision / Tract: Preserve/twin Peaks / Lot Size: 9,984

Land Use: Sfr

Year Built / Eff: 2023 / Rec. Date / Price: 01/24/2024 / $629,000 Living Area: 2,598

Document #: 240414

Total Tax Value: $68,323

#6   5203 W Brentwood Ln Tucson Az 85742

Bedrooms:

Bath(F/H): /

Owner Name: Radtke Brett M /Radtke Jennifer L

# of units:

Pool:

APN / Alternate APN: 216-26-0260 / Deed Type: Special Warranty Deed Land Use: Sfr

Subdivision / Tract: Preserve/twin Peaks / Lot Size: 9,906

Year Built / Eff: 2023 / Rec. Date / Price: 12/29/2023 / $469,990 Living Area: 2,167

Document #: 3630548

Total Tax Value: $68,323

Bedrooms:

Bath(F/H): /

#7   10813 N Stonebridge Dr Tucson Az 85742

Owner Name: Woods William A /Butler Nesrin

# of units:

Pool:

APN / Alternate APN: 216-26-0100 / Deed Type: Special Warranty Deed Land Use: Sfr

Subdivision / Tract: Preserve/twin Peaks / Lot Size: 6,988

Year Built / Eff: 2021 / Rec. Date / Price: 05/22/2024 / $529,990 Living Area: 2,223

Document #: 1430354

Total Tax Value: $387,756

Bedrooms:

Bath(F/H): /

#8   10804 N Cactus Point Dr Tucson Az 85742

Owner Name: Karnes Michael J /Karnes Tanya R APN / Alternate APN: 216-26-0880 / Deed Type: Special Warranty Deed

Subdivision / Tract: Preserve/twin Peaks / Lot Size: 7,378

# of units:

Pool:

Land Use: Sfr

Year Built / Eff: 2023 / Rec. Date / Price: 12/22/2023 / $469,990 Living Area: 2,167

Document #: 3560372

Total Tax Value: $68,323

Bedrooms:

Bath(F/H): /

#9   10773 N Cactus Point Dr Tucson Az 85742

Owner Name: Castillo Joe Gilbert & Connievilla & Ca Marissa Jo All Jt/ / APN / Alternate APN: 216-26-0450 / Deed Type: Special Warranty Deed

Subdivision / Tract: Preserve/twin Peaks / Lot Size: 7,465

Rec. Date / Price: 09/01/2023 / $599,990 Living Area: 2,594

Document #: 2440129

Total Tax Value: $68,323

Bedrooms:

Bath(F/H): /

#10   10767 N Cactus Point Dr Tucson Az 85742

Owner Name: Kinkaide Mary Elizabeth / APN / Alternate APN: 216-26-0460 / Deed Type: Special Warranty Deed

Subdivision / Tract: Preserve/twin Peaks / Lot Size: 7,774

Rec. Date / Price: 10/27/2023 / $474,990 Living Area: 2,167

Document #: 3000514

Total Tax Value: $68,323

Bedrooms:

Bath(F/H): /

# of units:

Pool:

Land Use: Sfr

Year Built / Eff: 2023 /

# of units:

Pool:

Land Use: Sfr

Year Built / Eff: 2023 /

# of units:

Pool:

Company Name : First American Prepared On : 08/15/2024

#11   10761 N Cactus Point Dr Tucson Az 85742

Owner Name: Mattingly Terri Lynn Morgan /Mattingly Michael

APN / Alternate APN: 216-26-0470 / Deed Type: Special Warranty Deed

Subdivision / Tract: Preserve/twin Peaks / Lot Size: 9,027

Land Use: Sfr

Year Built / Eff: 2023 / Rec. Date / Price: 08/15/2023 / $529,990 Living Area: 2,203

Document #: 2270438

Total Tax Value: $68,323

# of units:

Bedrooms: Pool:

Bath(F/H): /

#12   11386 N Moon Ranch Pl Marana Az 85658

Owner Name: Chiu Robert / APN / Alternate APN: 224-13-1340 / Deed Type: Warranty Deed

Subdivision / Tract: Skyranch / Lot Size: 6,038

Land Use: Sfr

Year Built / Eff: 2006 / Rec. Date / Price: 02/22/2024 / $599,000 Living Area: 2,118

Document #: 530128

Total Tax Value: $385,377

# of units:

Bedrooms: Pool: Pool

Bath(F/H): /

#13   10782 N Cactus Point Dr Tucson Az 85742

Owner Name: Tankersley Richard Carder /Walsh Jocely

APN / Alternate APN: 216-26-0840 / Deed Type: Special Warranty Deed

Subdivision / Tract: Preserve/twin Peaks / Lot Size: 7,193

Land Use: Sfr

Year Built / Eff: 2023 / Rec. Date / Price: 10/11/2023 / $496,872 Living Area: 2,014

Document #: 2840416

Total Tax Value: $68,323

Bedrooms:

Bath(F/H): /

#14   10776 N Cactus Point Dr Tucson Az 85742

Owner Name: Jagata Achutaramayya /Venkata Satya Lak Purnima

APN / Alternate APN: 216-26-0830 / Deed Type: Special Warranty Deed

Subdivision / Tract: Preserve/twin Peaks / Lot Size: 7,179

Rec. Date / Price: 11/22/2023 / $474,990 Living Area: 2,223

Document #: 3260543

Total Tax Value: $68,323

Bedrooms:

Bath(F/H): /

#15   10749 N Cactus Point Dr Tucson Az 85742

Owner Name: Valerio Krysta Arianna /Christopher P C

# of units:

Pool:

Land Use: Sfr

Year Built / Eff: 2023 /

# of units:

Pool:

APN / Alternate APN: 216-26-0490 / Deed Type: Special Warranty Deed Land Use: Sfr

Subdivision / Tract: Preserve/twin Peaks / Lot Size: 8,442

Rec. Date / Price: 10/10/2023 / $588,972 Living Area: 2,598

Document #: 2830404

Total Tax Value: $68,323

Bedrooms:

Bath(F/H): /

#16   10752 N Cactus Point Dr Tucson Az 85742

Owner Name: Hogan David E /Brown-hogan Kourtney A R

APN / Alternate APN: 216-26-0800 / Deed Type: Special Warranty Deed

Subdivision / Tract: Preserve/twin Peaks / Lot Size: 8,095

Rec. Date / Price: 10/10/2023 / $484,990 Living Area: 2,167

Document #: 2830520

Total Tax Value: $68,323

Bedrooms:

Bath(F/H): /

Year Built / Eff: 2023 /

# of units:

Pool:

Land Use: Sfr

Year Built / Eff: 2023 /

# of units:

Pool:

Name : Jeremiah Stiffler

Company Name : First American Prepared On : 08/15/2024

#17   11993 N Renoir Way Tucson Az 85742

Owner Name: Brantley Evelyn S / APN / Alternate APN: 216-01-1290 / Deed Type: Warranty Deed

Subdivision / Tract: Tangerine Rdg / Lot Size: 6,000

Land Use: Sfr

Year Built / Eff: 2019 / Rec. Date / Price: 07/03/2024 / $512,500 Living Area: 1,992

Document #: 1850439

Total Tax Value: $362,399

Bedrooms:

Bath(F/H): /

#18   10740 N Cactus Point Dr Tucson Az 85742

Owner Name: Clyne Michelle Diane /Jerome Martin Cp

APN / Alternate APN: 216-26-0780 / Deed Type: Special Warranty Deed

Subdivision / Tract: Preserve/twin Peaks / Lot Size: 9,111

# of units:

Pool:

Land Use: Sfr

Year Built / Eff: 2023 / Rec. Date / Price: 08/30/2023 / $594,990 Living Area: 2,594

Document #: 2420506

Total Tax Value: $68,323

# of units:

Bedrooms: Pool:

Bath(F/H): /

#19   10720 N Cactus Point Dr Tucson Az 85742

Owner Name: Ostapinski Andrew Michael /Ostapinski Lindsey Guadalupe

APN / Alternate APN: 216-26-0750 / Deed Type: Special Warranty Deed

Subdivision / Tract: Preserve/twin Peaks / Lot Size: 7,920

Rec. Date / Price: 08/31/2023 / $533,500 Living Area: 2,203

Document #: 2430793

Total Tax Value: $68,323

Bedrooms:

Bath(F/H): /

#20   11515 N Moon Ranch Pl Marana Az 85658

Owner Name: Piper Linda S Trust / APN / Alternate APN: 224-13-1070 / Deed Type: Warranty Deed

Subdivision / Tract: Skyranch / Lot Size: 6,037

Rec. Date / Price: 02/27/2024 / $480,000 Living Area: 2,118

Document #: 580404

Total Tax Value: $352,282

Bedrooms:

Bath(F/H): /

Land Use: Sfr

Year Built / Eff: 2023 /

# of units:

Pool:

Land Use: Sfr

Year Built / Eff: 2006 /

# of units:

Pool:

5024 W CAMINO DE

Owner Name : Atteberry Austin Sale Price  : $120,000

Sale Date : 07/02/2024

Total Value : $72,000

Land Use : Residential Lot

Recording Date  : 07/09/2024

W

Owner Name : Miller Patrick T

Sale Date : 03/00/2004

Value : $245,361

Bed / Bath : / 3

Land Use : Sfr

Tax : $685.66

Acres : 1.00

216-03-0180

Recording Date : 04/08/2004

Price  : $408,000

Tax : $2,695.81

Acres : 1.00

Area : 1,631 Stories : 1

216-03-0190 Yr Blt / Eff Yr Blt  : 2004 / 5042 W CAMINO DE

Owner Name : Marsden Charles H Recording Date : 04/20/2021

Sale Date : 04/19/2021

Price  : $800,000 Total Value : $528,276

Bed / Bath : / 4

Land Use : Sfr

Tax : $7,139.89

Acres : 1.02

Area : 3,072 Stories : 1

216-03-0250

Owner Name : Natko Michael J

Sale Date : 04/20/2020

Total Value : $72,000

Bed / Bath : / 3

Land Use : Sfr

Stories : 1

Yr Blt / Eff Yr Blt  : 2022 /

Date : 04/27/2020

Price  : $25,000

Tax : $3,292.54

Acres : 1.00

Area : 1,713

216-03-0210

5040 W CAMINO DE MANANA

Owner Name : Desert Medical Services Llc Sale Price  : $125,000

Sale Date : 11/17/2023 Property Tax : $550.80

Total Value : $72,000

Acres : 1.01

Land Use : Residential Acreage APN : 216-03-0260

Recording Date  : 11/21/2023

5072 W CAMINO DE MANANA

Owner Name : Hoffman Celia R

Recording Date : 07/02/2021

Sale Date : 02/23/2021 Sale Price  : $589,363 Total Value : $508,830

Tax : $5,759.24

Bed / Bath : / 4 Lot Acres : 1.01

Land Use : Sfr

Area : 2,700 Stories : 1

216-03-023C Yr Blt / Eff Yr Blt  : 2021 /

5080 W CAMINO DE MANANA

Owner Name : Kompe Karl E Yr Blt / Eff Yr Blt : 2005 / Total Value : $302,882

Tax : $3,646.08

Bed / Bath : / 3 Lot Acres : 1.00

Land Use : Sfr

Area : 1,868

Stories : 1 APN : 216-03-0200

5022 W CAMINO DE MANANA Distance 0.06 Miles

Owner Name : Weaver Roland L

Sale Date : 07/08/2002

Total Value : $369,453

Bed / Bath : / 3

Land Use : Sfr

Recording Date : 07/23/2002

Price  : $110,000

Tax : $4,244.72

Acres : 2.04

Area : 2,138

Stories : 1 APN : 216-03-0170

Yr Blt / Eff Yr Blt  : 2007 /

Name : Jeremiah Stiffler

Company Name : First American Prepared On : 08/15/2024

5044 W CAMINO DE MANANA Distance 0.06 Miles

Owner Name : Davison S

Recording Date : 02/22/2013

Sale Date : 02/20/2013 Sale Price  : $50,000

Total Value : $438,623

Bed / Bath : / 4

Land Use : Sfr

Stories : 1

Yr Blt / Eff Yr Blt  : 2015 /

Tax : $5,925.26

Acres : 1.14

2,435

216-03-0240

5038 W CAMINO DE MANANA Distance 0.09 Miles

Owner Name : Adams Kenneth J

Recording Date : 06/30/2016

Sale Date : 06/16/2016 Sale Price  : $505,000 Total Value : $577,613

Bed / Bath : / 5

Land Use : Sfr

Tax : $7,190.57

Acres : 1.05

Area : 3,861 Stories : 1

216-03-0270

Yr Blt / Eff Yr Blt  : 2008 /

Census Tract / block: 46.39 / 1     Year: 2020

Arizona Schools

PIMA COUNTY

SEARCH PARAMETERS

PARCEL:  216-03-0220

PARCEL: 216-03-0220

OWNER: KUSTIN BARRY/FRANKIE  AFFIDAVIT    2014 900416 03/31/2014

SITUS: 5028 W CAMINO DE MANANA PC

MAIL: 5028 W CAMINO DE MANANA  TUCSON AZ 85742

LEGAL: S198' N396' E220.04' W440.08' SE4 SW4 1 AC SEC 1-12-12

CURRENT TAXES INFORMATION THROUGH 07/28/2024

SFR

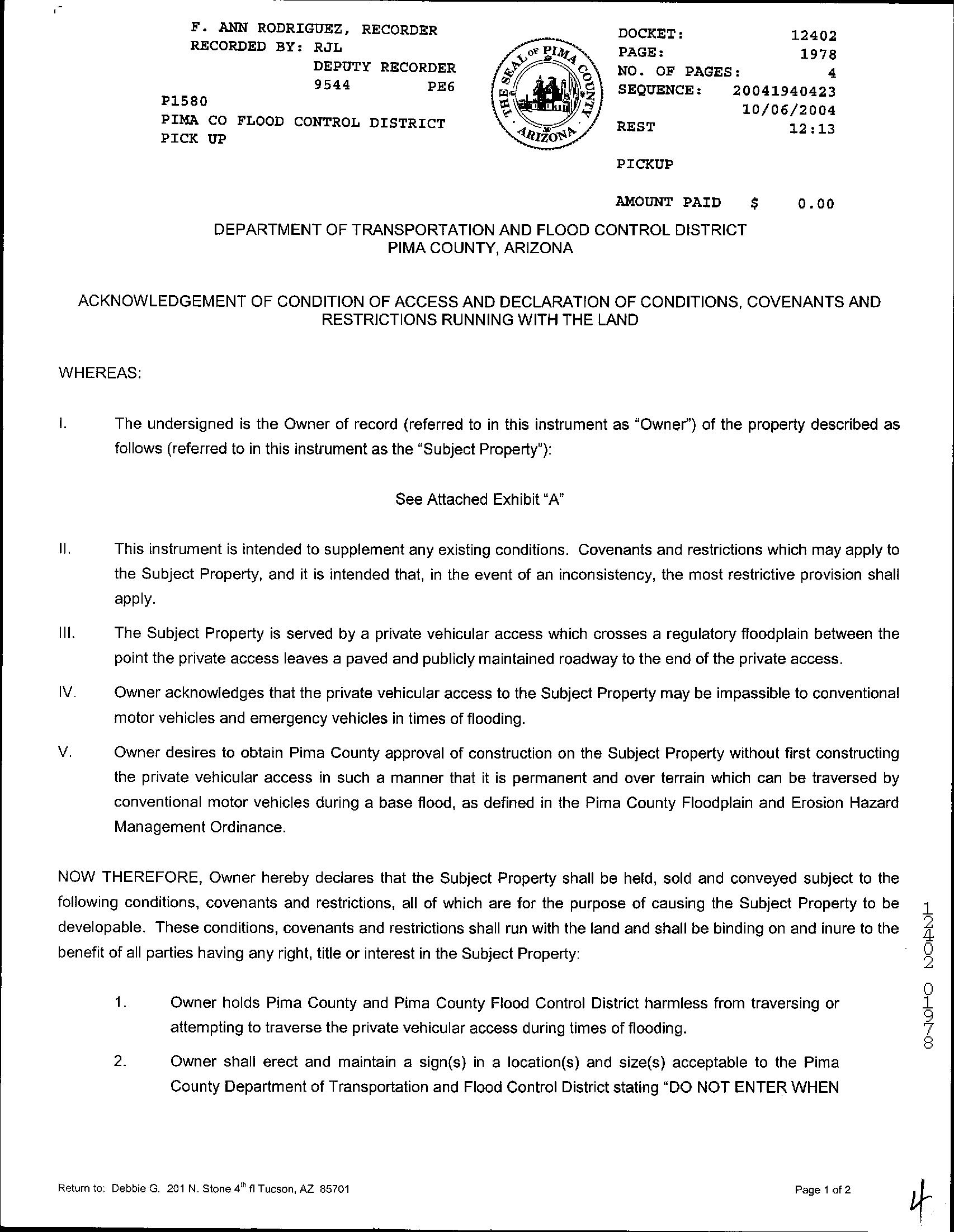
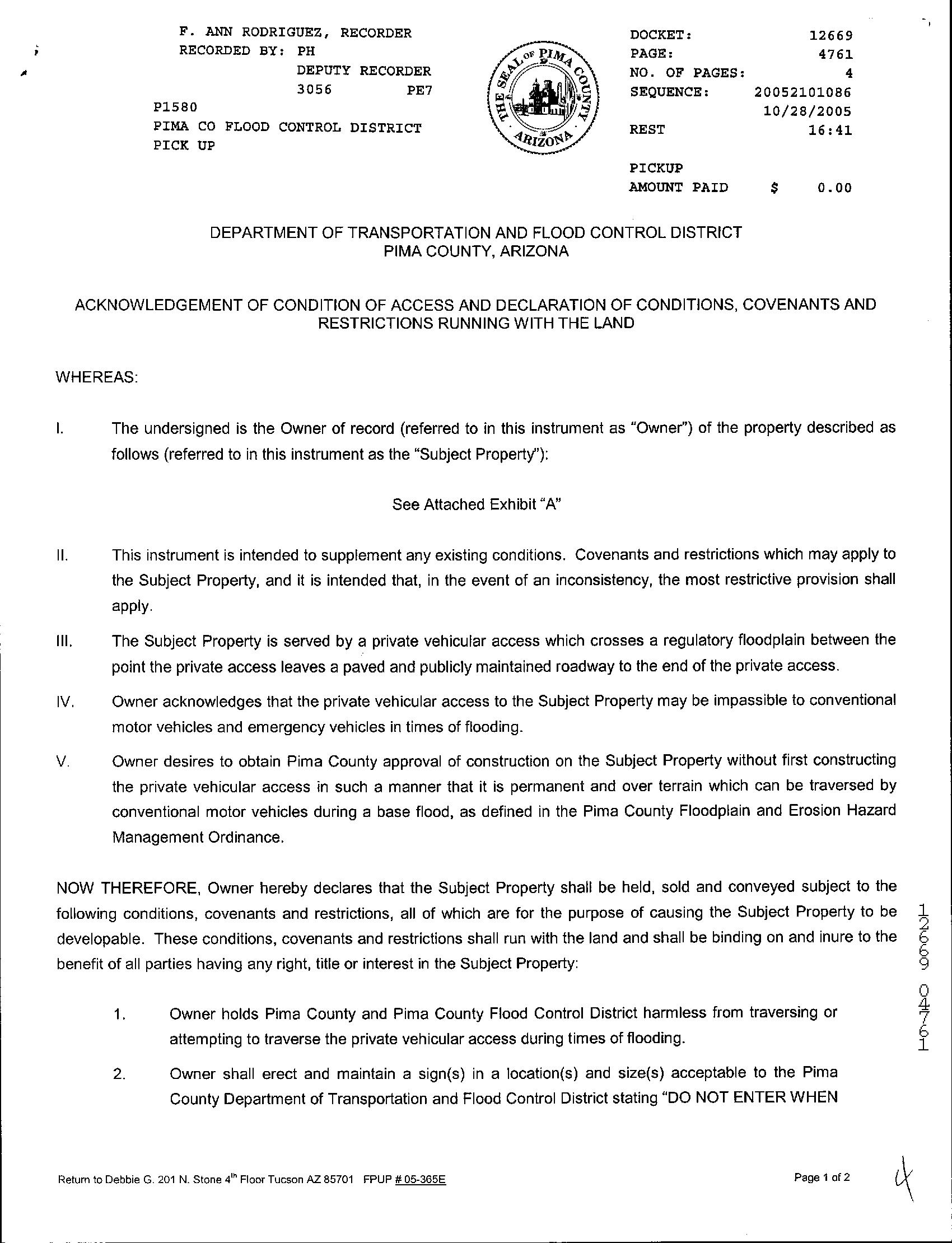
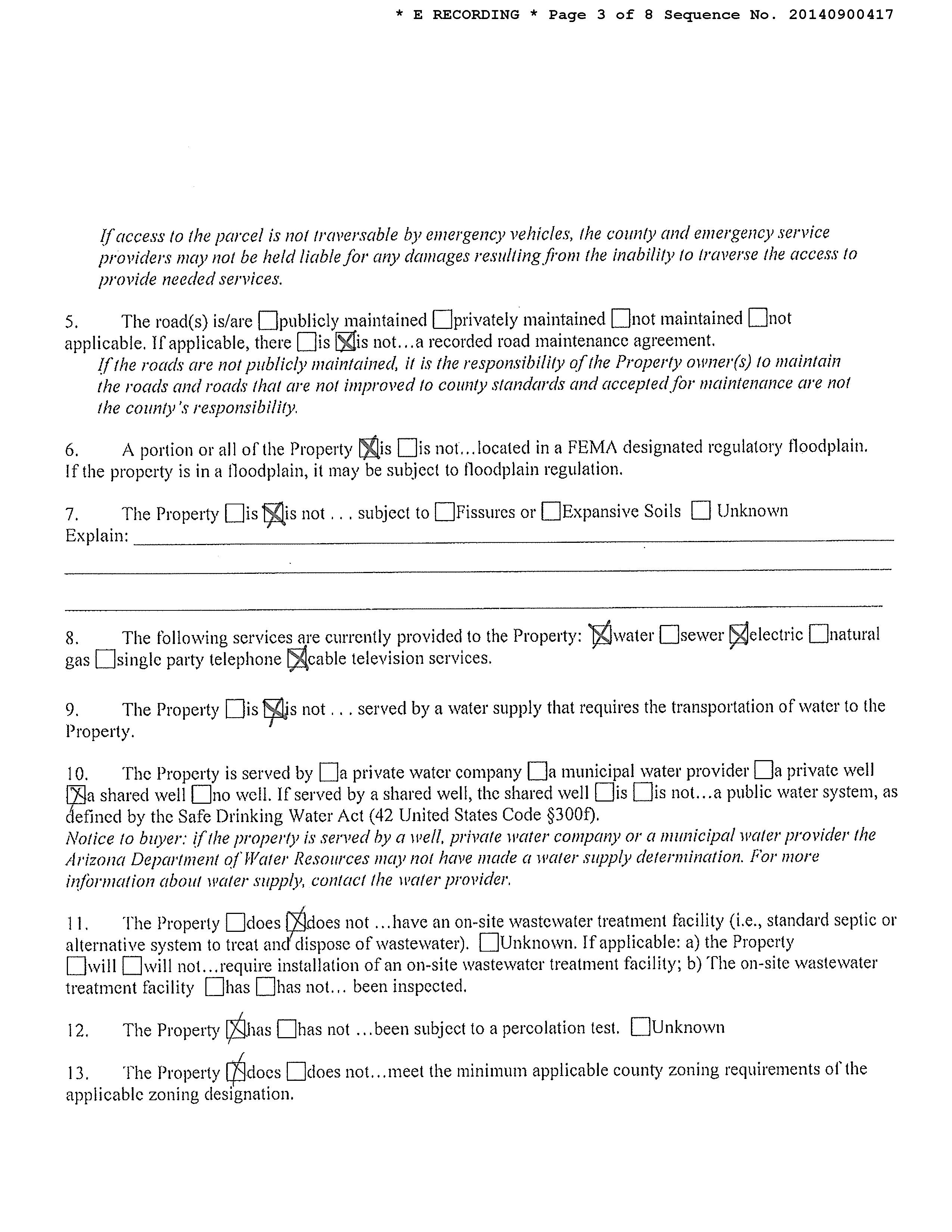
Covenants, Conditions & Restrictions

Thank you for the opportunity to be of service.

Restrictions indicating a preference, limitation or discrimination based on race, color, religion, sex, handicap, familial status, or national origin are hereby deleted to the extent such restrictions violate 42 USC 3604(c).

This information is furnished without fee and without benefit of a complete title search. No liability is assumed by First American Title. If it is desired that liability be assumed, you may apply for a policy of title insurance with First American Title Insurance Company.

Turn static files into dynamic content formats.

Create a flipbook
Issuu converts static files into: digital portfolios, online yearbooks, online catalogs, digital photo albums and more. Sign up and create your flipbook.