


The widest range of accessories on the market. Future-proof
Multiple sizes and combinations available. Productivity and well-being
Suitable to any environment, application and industry. Concept workbench
The Treston 3D Configurator can be used to design an industrial or technical workstation that best meets your needs. To get started, all you need is a mobile phone or a computer with an internet connection; no downloading is required and using the software is free.
The Treston 3D Configurator can be used to design an industrial or technical workstation that best meets your needs. To get started, all you need is a mobile phone or a computer with an internet connection; no downloading is required and using the software is free.
KEB Automation
Böllhoff relies on drive technology from KEB Automation
Burkert
Discover the world of Bürkert Fluid Control Systems at Birmingham this Spring!
KEB Automation
From F5 to F6: how to switch to the new drive controllers
Micro-Epsilon
Dimensionics chooses 2D/3D laser profile scanners from Micro-Epsilon to check dimensional accuracy of sheet metal at high speed
EMS
Warehouse automation: what does the future hold?
Fanuc
How can we secure the future of automation? Education, expertise and sustainability
Kuka
Galvanizing plant in Germany invests in welding cell and takes stock
Micro-Epsilon
Advantages of optical sensors in coordinate measuring machines
Sulzer
Investment in technology and people drives 50 years’ success in Sulzer’s Wexford plant
Based in Bielefeld, Germany, Böllhoff offers its customers system solutions – and realises these with the support of KEB Automation. Drive technology from KEB has proven to be the right choice, particularly in the area of servo technology, not least because the drive controllers lead to cost savings and require noticeably less space in the control cabinet.
High availability and process reliability, cost-optimised systems and the smallest possible space requirement in production – these are the challenges that the Böllhoff Group faces. The familyowned company was founded in 1877 and offers solutions for fastening and assembly technology, as well as logistics. For example, Böllhoff is in demand in the automotive industry and also with the corresponding suppliers to some extent in the aerospace sector. For customers in these and other industries, Böllhoff supplies, among other things, processing and riveting elements.
With “RIVSET”, for example, Böllhoff offers a self-pierce riveting system that creates mechanical, high strength
connections of identical or combined materials. In the past, this was primarily based on a hydraulic drive. However, this also meant that the hydraulic hoses had to be routed over the robot – not beneficial for maintenance teams and difficult when it came to locating faults within the hydraulics.
Air conditioning no longer required Servo technology and the matching drive solutions from KEB Automation proved to be much more practical
and reliable in this context. As Jörg Münstermann, Head of Software and Automation at Böllhoff Automation comments: “We use KEB inverters in our controls to drive servo motors that we need in our processing systems. Especially with the integration of servo technology at our company, which was new territory for us at the time, we were very well supported by KEB.”
COMBIVERT F6 drive controllers from KEB, for example, are used at Böllhoff. These drive controllers can also be installed in the control cabinet as a push-through variant. The advantage here is that heat can be emitted directly to the outside of the cabinet, resulting in reduced heat gain inside. This eliminates the need for an air conditioning unit, which leads to cost and space savings.
For Münstermann, there are also other arguments in favour of working with KEB. For example, KEB drive technology was very easy to integrate into Böllhoff’s control architecture via the EtherCAT bus and the worldwide service locations were also an important factor.
High availability and process reliability, costoptimised systems and the smallest possible space requirement in production – these are the challenges that the Böllhoff Group faces.
daysoft® celebrates its 1 billionth 1,000,000,000 daily disposable contact lens made in the UK and sold direct around the world for half the price of competing brands from 20p delivered.
Bürkert Fluid Control Systems, a world-leading manufacturer of measurement and control systems for liquids and gases, is excited to announce its participation in ChemUK2023, the UK’s largest trade show for the chemical, laboratory, and process industries. The exhibition will take place on May 10th -11th, 2023 at the NEC Birmingham, and Bürkert will be showcasing its innovative products and solutions on stand F24.
As a leading player in the industry, Bürkert’s presence at ChemUK2023 provides a prime opportunity for professionals to explore the latest trends and advancements in measurement and control systems for liquids and gases. With a proven track
record of developing high-quality, innovative solutions that increase efficiency and productivity, Bürkert’s team of experts will be on hand to provide insights and solutions to visitors interested in its products and
services, including its Decentralised Automation and Dosing exhibits.
The Decentralised exhibit is more than a showcase of Bürkert’s cutting-edge technology. It offers visitors the chance to witness the benefits of a hygienic design and in-house welded system first-hand. The exhibit highlights the Top Control Heads, integrated with Bürkert valves, which use IO-Link technology for complete control via a Siemens HMI.
These control heads enable precise control over fluid processing, ensuring even the most delicate products are handled with care. They are also energy-efficient, saving compressed air and reducing overall energy
The system’s precise control and analysis of dosing processes leads to improved efficiency, productivity, and consistent product quality.Bürkert’s innovative in-house welded system offers hygienic design and advanced control features.
consumption. Being hygienically designed, they meet the highest standards of cleanliness required by industries such as healthcare, pharmaceutical, as well as food and beverage.
The Dosing exhibit proves the precision and reliability of Bürkert’s miniature time pressure dosing system, featuring a supply unit consisting of three tanks pressurized by micro pressure regulators and customized dosing heads. The system ensures exact dosing volumes, even during changing pressure set points, making it an ideal solution for industries such as pharmaceuticals, chemical processing, food and beverage, and healthcare.
The system’s precise control and analysis of dosing processes leads to improved efficiency, productivity, and consistent product quality. The dosed liquid is efficiently and reliably transferred from tubes into acrylic manifolds. With its compact size and innovative features, the dosing system is versatile and adaptable to various industries.
With their cutting-edge technology and unparalleled precision, Bürkert’s exhibits promise to provide visitors with a comprehensive understanding of its fluid control systems’ capabilities.
Bürkert’s collaborations with end users, installers, and Tier 1 contractors reflect its commitment to delivering optimised process control and monitoring systems across a wide range of industries. With decades of industry expertise and a comprehensive line-up of cuttingedge products, Bürkert offers reliable and innovative solutions for process control and monitoring. Trust Bürkert to deliver performance that meets and exceeds your expectations.
Discover the innovative solutions and products Bürkert has to offer by checking out their virtual application centre. This is an excellent opportunity for professionals to gain insights into the latest advancements and trends in measurement and control systems for liquids and gases and learn how Bürkert can help them to increase efficiency and productivity.
Bürkert Fluid Control Systems is one of the leading manufacturers of control and measuring systems for fluids and gases. The products have a wide variety of applications and are used by breweries and laboratories as well as in medical engineering and space technology. The company employs over 2,200 people and has a comprehensive network of branches in 35 countries world-wide.
www.burkert.com/en
Looking back to 2021, it was easy to consider compressed air as something of a ‘free’ resource. Energy prices were low and manufacturers generating compressed air for one area of their factory could utilise it in another area for next to zero marginal cost. However, since energy prices began their upwards journey, compressed air is no longer the cheap commodity it once used to be.
In 2022, the British Compressed Air Society (BCAS) conducted research into the extent of compressed air use in UK industry. They found that 70% of UK industry uses compressed air in some form or another and that on average, 30% of a business’s entire energy costs could be attributed to compressed air generation.
Using figures from the (then recent) UK Energy-related products policy study, conducted by ICF in May 2021, they calculated the combined energy usage for the mid-point of all industrial compressor technologies over their lifetime at 11.71 TWh. Based on the current UK average non-domestic electrical unit cost of 12.49p/kWh at the time, the figures were substantial - equating to £1.475 billion being spent by UK companies to generate the compressed air their businesses rely on.
Add to this the fact that on average 32.9 per cent of this energy was being wasted through leaks and inefficient practices - equivalent to £485.43 million in wasted electricity spend - and we began to understand the extent of which this presents a problem for UK manufacturing.
Skip forwards to today and the Department of Business, Energy and Industrial Strategy (BEIS) has recently published its figures for UK average nondomestic electricity costs for the final quarter of 2022. This figure now stands at 24.56p/kWh according to statistics, but it is estimated that many industrial tariffs are now reaching as high as 50.73p/kWh as of January 2023.
published figures as a starting point and adjust the BCAS research for today’s prices, we find that £2.943 billion is being used to generate compressed air in the UK. At a loss rate of 32.9%, that’s almost £1 billon of wasted energy every year in the UK, equivalent to £2.62 million every single day.
This staggering figure may come as a surprise to many of the UK’s manufacturers who have until recently worked on an ‘out of sight, out of mind’ policy when it comes to monitoring exactly what is going on within their compressor houses. It’s with this in
latest energy prices, the return on investment to combat inefficiencies is now months, not years. Not to mention the opportunity to reduce carbon emissions by up to 3.2 tons per year - a consideration that companies can’t help but be aware of.
With all things considered, isn’t it time your company found out what is happening behind closed doors?
For further information, please visit www.thorite.co.uk/energy
COMBINED SAVINGS
Automating Energy Saving
MSE6 - E2M Energy Efficiency Module
MANUFACTURING SOLUTIONS We’re Exhibiting! visit us at Stand G70 EFFICIENCY &
start-up of idle machines
Integrated Leak detection, measurement and reporting
Integrated Leak detection, measurement and reporting
Up to the minute comparative data reporting
The COMBIVERT F5 drive controllers have been proven for many years when it comes to open-loop and closed-loop applications in mechanical engineering. The new KEB drive controller generation – COMBIVERT F6 and S6 –opens up new possibilities and potential for users to increase the efficiency of machines and systems. But how is the switch from F5 to the F6 achieved and what should be considered.
The requirements in machine and plant design continue to evolve – and so does drive technology. Against this background, KEB Automation has introduced the COMBIVERT F6 drive controller as successor of the COMBIVERT F5. In numerous applications around the world, the all-in-one drive controller ensures maximum efficiency.
With a more compact design and a correspondingly optimised power density, as well as improved cooling concepts, the COMBIVERT F6 has features that take into account the changing demands of mechanical engineering and machine design and build. Further advantages are offered
in daily practice by the use of modern bus systems and the possibilities of encoderless safety, which reduces wiring effort and costs. And last but not least, a wide variety of motor technologies can be controlled with the COMBIVERT F6. Regardless of whether the motor is asynchronous, synchronous, synchronous reluctance, IPM linear or high speed, it is possible to switch to the respective motor via software.
Switching from F5 to F6
More and more users are turning to the new generation of drive controllers from KEB. The staff in KEB’s service department provided support in the actual implementation of the change from the F5 to the F6. As Niels Haase, Service Support Coordinator at KEB comments: “It doesn’t matter whether the request is for a new series of machine or for existing machines. In an initial discussion by phone or on the customer’s site, we record the requirements that the drive controller must fulfill in the application.”
These requirements include both mechanical and electrical aspects. In addition, the
environmental conditions in which the machines and systems are used, acceptances and approvals, as well as the desired software and hardware functions also play a central roles in the joint discussion of the requirements for use of the drives. “For better planning, we define a start and planned end of the customer project for each conversion of the drive controllers. When designing the drives, we use simulation methods such as hardware in the loop, which often shortens the time required for the changeover,” says Haase. “Apart from this, adapter solutions are also possible. When adapting from the F5 to the F6, the focus is then primarily on the pin assignment of encoders.”
Before the new drive controllers are used in the machines and function smoothly there, they are tested in advance by KEB. Once the day of commissioning arrives, users can again count on the help of the KEB service team – on site or remotely.
For more information, please visit www.keb.co.uk
A rotary union, or ‘Swivel Joint’ is used to transfer fluid across a rotating interface. At Rotaflow we have produced Swivel Joints for many applications within all areas of engineering and for all over the world: From Brewery, Food and Drink, Process, Drilling & Mining, Oil & Gas to Nuclear, Chemical and Subsea.
We provide solutions that have enabled all manner of different fluids (including oils, fuels, corrosives, food) and/or air/steam to be transferred through awkward, and often, already established production infrastructure. With almost 40 years of experience, we have designed and manufactured swivels to withstand and perform effectively when faced with many tricky environmental factors: Overcoming issues with heat, pressure, size and material choice. Our dual roller and ball bearing race designs mean you get a longer life; an increased reliable service, and a higher capacity for axial and radial loading and all without leakage. So, less downtime and more productivity.
Swivel joints will allow the movement on a slowly rotating drum or remove the damaging effect of twisting on hoses. We manufacture in Carbon Steel and 316 SS with “specials” in any grade of metal to suit customer specification. With bores ranging from 0.25” to 40”; Vacuum duty to 20,000PSI and multi passaged designs allowing multiple flows of fluid though a single unit. www.rotaflow.com
Swivel joints allow pipework to pressure 1/4” to 40” and beyond. Vacuum to over 20,000psi. Stock and bespoke production. Unique bearing/seal design for longer life.
ISO 9001 CE marked where applicable. Tel: +44(0)1663 735003
Dimensionics, a supplier of measuring and testing technology, has chosen 2D/3D laser profile scanners from Micro-Epsilon for use on its Disionic Sheet Control measuring table, a fully automatic system for testing the dimensional accuracy of sheet metal.
The Disionic Sheet Control measuring table is equipped with two scanCONTROL 3000-25/BL laser profile
scanners from Micro-Epsilon. The scanners, which have a compact design with integral controller, measure sheet metal blanks and check these for width, length, angle, straightness, deflection (convex/concave) and the planarity of the sheet metal edges.
Blue laser technology
The two laser profile scanners are mounted on the XY table. Each scanner
has a measuring range of 25mm and is guided over two edges in the X and Y direction of the sheets. The sensors use Blue Laser technology to ensures they achieve maximum precision and reliable results on demanding surfaces such as shiny metallic sheet.
Measurement and data output for the entire test process take just a few seconds. The laser profile scanners
transmit the measurement data via Gigabit Ethernet to the extensive system software for analysis. Based on the data, any production errors such as inaccurate edges or dimensional deviations due to inaccurate positioning can be detected. As a result, the production quality of the sheet metal blanks is checked in a traceable and reliable manner. In this way, the laser profile scanners, together with the Disionic Sheet Control measuring table, ensure an automated testing process that was previously a laborious manual process.
Mathias Evers, Application Engineer at Dimensionics comments: “Both the versatility and reliable operation of the Micro-Epsilon sensors are impressive. We have already been won over by the product quality in numerous projects and will also count on Micro-Epsilon in future tasks.”
The scanCONTROL 30x0 series is among the highest performing profile sensors in terms of their size, accuracy and measuring rate. They provide calibrated 2D profile data with up to 7.37 million points per second. A profile frequency of up to 10kHz enables precise profile measurements in dynamic high speed processes. The high resolution sensor matrix offers a resolution of 2,048 points with an ultimate point distance of just 12µm, enabling extremely fine details to be detected reliably. The sensors are available with either blue or red laser diodes.
For more information on the scanCONTROL 30x0 series of laser profile scanners from Micro-Epsilon, please visit www.micro-epsilon.co.uk or call the Micro-Epsilon sales department on +44 (0)151 355 6070 or email info@micro-epsilon.co.uk
We have already been won over by the product quality in numerous projects and will also count on Micro-Epsilon in future tasks.
For more than 50 years, we have continuously offered reliable, high performance, unique solutions particularly when high precision measurement or inspection is required.
About Micro-Epsilon
Supplier issues can lead to manufacturing downtime and severely impact profitability and brand reputation, meaning proactively preventing issues from arising is prudent and more cost effective than reactive solutions.
Companies across the manufacturing industry are still seeing macro issues in the supply chain. For example, microchip shortages are still causing delays in production across a variety of industries such as automotive, aerospace, off-highway and even home goods, to name a few.
When it comes to nominating a supplier, manufacturers must have a solid process for validating a suppliers manufacturing system before start of production. This will help them to establish how adept the supplier is at maintaining quality and delivery levels with fluctuations in demand and supply chain constraints. For due
diligence, this analysis should be repeated every time existing processes are changed or new ones are introduced.
To ensure existing supply chain risk is minimised, manufacturers should also have a robust, risk-based analytical process in place to identify weaknesses in the supply chain that could create disruption in the end manufacturing process and ultimately lead to financial and reputational damage. Evidence of strain such as late parts deliveries, frequency of failure and issues with shipments are all warning signs to a business that there may be more serious challenges beneath the surface.
If an issue with quality does arise, it is standard practice within manufacturing to implement additional controls to contain the issue while actions are taken to resolve the root cause. What is less common is a thorough investigation into the supplier’s business to understand if
there are any underlying stress points that are contributing to their process failures.
It isn’t uncommon for businesses to want to grow quickly, but supply chains are not always equipped to cope with an increase in demand or complexity making the potential for regular disruption a reality.
For many businesses, dealing with supplier issues is more of a reactive process, meaning some form of disruption to the production line has already occurred.
Leading provider of quality management services to the manufacturing industry, G&P has created a process to actively prevent quality spills rather than controlling spills that have already happened.
By proactively intervening with suppliers that pose a high risk of disruption, G&P aims to protect the customer from costly
disruption and support the drive for zero defects reaching the production line.
Traditionally, G&P has looked to a supplier’s parts quality performance history as an indicator of the risk that a supplier poses to the manufacturer. Suppliers that have not been problematic in the past are therefore not flagged up.
By measuring manufacturing performance, business performance and social attributes we can get a fuller indication of a supplier’s stability and make a prediction on future performance levels.
G&P has used its Business Integrity and Capability assessments to measure these attributes and to predict disruption. Then, when combined with Quality
Performance data G&P gathers from its reactive operations, it can calculate an overall supplier Risk Level index. Applied across a full supply base G&P understands which suppliers pose the greatest threat of disruption and can proactively direct resources to those suppliers and work to reduce that risk before an incident occurs.
Simon Francis, Group Quality Director, G&P, said: “G&P works with suppliers to understand the presence of risk within their organisation and their own supply chains. We then develop and deploy appropriate solutions to mitigate those risks”.
G&P was established in 1994 to offer total quality management solutions to the manufacturing industry. The Birmingham based business offers its services worldwide and supports a range of industries including automotive, aerospace, off-highway, rail
and more. In an increasingly volatile world, G&P’s services are allowing businesses to not just remain operational but take proactive steps to ensure that supplier issues do not arise in the first place.
To date, G&P has performed over 129,000 quality management projects, preventing more than 288 million non-conforming parts from reaching point of fit and reducing scrap by reworking 231 million parts.
To discover more about how G&P can help your business visit www.gpqm.com or call us on +44 (0)1922 458 003.
By measuring manufacturing performance, business performance and social attributes we can get a fuller indication of a supplier’s stability and make a prediction on future performance levels.
According to the Office for National Statistics, online orders accounted for one in four UK retail sales in January 2023, still higher then pre-pandemic levels. E-commerce is growing, and warehouse facilities must adapt to keep up with rising demand. Here Dave Walsha, sales manager at precision drive system supplier EMS, explores the role automation will play in the future of the warehouse industry.
Restrictions put in place to control the spread of COVID-19 changed the shopping habits of the UK. So, to keep up with an influx of online orders and rising consumer expectations, warehouse managers must prioritise efficiency.
To increase warehouse productivity in line with rising online orders, warehouse managers should focus on accelerating their automation journey. Warehouse automation isn’t brand new, and many units have some degree of automation integrated. The next step, and the key to ultimate efficiency, is to fully automate warehouse logistics.
The development of robots that can successfully load and unload lorries are providing the final piece of the puzzle, making complete warehouse automation possible. Lorry loading and unloading has previously been a difficult step to automate. One reason for this is that artificial vision systems can have difficulty distinguishing where one box begins and another ends in a crowded trailer.
In addition, a robot may find it hard to rummage through a jumble of boxes if they have fallen over in transit, or to pick up an object with a complex shape. There’s also the varying weights and sizes of cargo that the robot must contend with. It must have the ability to forcefully lift something heavy and delicately handle a fragile package.
A warehouse unit with end to end automation can become a lights out facility - where human workers are not constantly needed to maintain productivity, and can therefore operate in complete darkness. Dark warehouses are the epitome of efficiency, with many automated machines working together in perfect harmony.
Enter an automated warehouse and you’ll be surrounded by a flurry of robots that appear to be running the facility. However, the true driving force of an automated warehouse is the powering motors — and they must meet stringent requirements.
The motors need to be compact so the automated machine can fit into tight spaces between racks. Low weight is another important requirement of the motors, allowing the robot to make quick and agile movements. The motors must also exhibit high power so that the automated machines can move heavy cargo.
EMS is the sole UK supplier of FAULHABER motors, which are renowned for their unbeatable power to weight ratio. The multi-pole brushless motors are available in lengths as small as 14 millimetres, making them ideal for robots with small space requirements.
Online shopping is increasing in popularity, and warehouses must evolve to meet new demands. End to end automation allows warehouse managers to increase unit productivity without the need for additional floor space or employees - accelerating a package’s journey from warehouse floor to customer door.
www.ems-limited.co.uk
be essential
Lorry loading and unloading has previously been a difficult step to automate.
Rotech Motion Sensor’s can be used whenever information or monitoring of shaft rotation, position, direction, speed, slip etc is required!
Rotech Motion Sensor’s can be used for indication, control, interlocking, protection, sequencing, alarm initiations and many more functions!
Rotech Motion Sensor’s can be used wherever materials are transported or processed
Available in the UK from Labtex, Vacuubrand manufactures a comprehensive range of laboratory and instrumentation vacuum pumps, gauges and controllers for both coarse and fine vacuums.
Vacuubrand’s first priority is to offer sophisticated equipment which meets the highest quality, professional standards expected of a modern laboratory. For example, ‘intelligent pumps’ make lab work more efficient, allowing chemists and technicians to focus their attention on other tasks.
The versatile Vaccubrand chemistry pumping unit, PC 3001 VARIO select
• Unsurpassed performance
• Uncompromising chemical resistance
• Fully automatic evaporations
• Minimal operating and maintenance costs
• Whisper quiet
• Environmentally friendly, without oil and water consumption
• The Vacuubrand Chemical Resistance Chart
• Chemical resistance is essential when working with aggressive gases and vapors.
www.labtex.co.uk
• 1000’s of Castors and Wheels for Next Day UK Delivery
• Diameters from 50mm to 455mm. Loads from 50kg to 1500kg
• Friendly Expert Advice, over 45 years experience
• Free UK Mainland Delivery over £90 order value
• Discounts for Quantity Orders
• Easy Online Ordering or Telephone & email orders welcome
• Download Product and Price Datasheets
• CAD Drawings available
• Castor & Wheel Selection Guides
Tel: 01243 607029 | Email: info@basicscastors.co.uk www.basicscastors.co.uk
Discover the range of chemically resistant, durable, and highly efficient chemistry diaphragm pumps, from VACUUBRAND
Avilable in the UK from Labtex , Vaccubrand engineer and produce almost all of their pump and controller components at their facility in Germany. This enables Vacuubrand to quickly respond to the wide variety of demands from different laboratories, offering tailor-made solutions, and also ensures a consistent approach to the quality of their design and manufacturing processes.
Vacuubrand relies on a range of cutting-edge technology and machine tools to produce a large selection of products, including rotary vanes, diaphragm pumping units, chemistry vacuum systems, vacuum gauges and controllers, as well as valves and components of the innovative VACUU-LAN local vacuum network.
• Contamination-free conveying and evacuation
• Outstanding chemical resistance
• Whisper quiet
• High pumping speed close to ultimate vacuum
• Long diaphragm life, maintenance-free drive system
• Extra low vibration
www.labtex.co.uk
According to ONS data , almost one fifth of all workers in the UK manufacturing industry is aged 55 or over. Less than 10% are aged between 16 and 24. Over the next decade, 20% of the workforce will retire, taking with them years of engineering and manufacturing expertise.
If UK manufacturing is to remain internationally competitive, we need to prioritise the development of a skilled pipeline – that is, people who can design, build, programme, integrate, operate and maintain manufacturing technologies. We also need to heavily embrace automation as a route to countering unskilled personnel shortages and increasing productivity.
Despite having a strong manufacturing industry, the UK lags behind other
industrialised nations in its uptake of automation. According to the International Federation of Robotics’ 2022 report, robot density in the UK manufacturing industry was 111 robots per 10,000 employees in 2021, which is very low for a Western European country (Germany, in comparison, has 397 per 10,000 employees).
I believe that together, investment in
education and expertise can accelerate our adoption of automation and go a long way towards addressing the problems facing UK manufacturing.
FANUC firmly believes that education is the key to securing and nurturing a pipeline of new manufacturing talent. The content of university degrees is already changing to become more industry related, and school leavers now have the option of studying for degrees such as an MSc in Artificial Intelligence and Robotics and a BEng in Robotic Engineering. However, there are still only 30 universities in the UK offering undergraduate courses in robotics and automation. In addition to this, we can see a widening gap in the provision of post-GCSE technical education, where there is a need for more
hands-on training in real life engineering settings.
We are deeply committed to supporting automation education at lower foundation level through both our Training Academy and the delivery of robotic equipment to training locations such as schools and technical colleges. In the last 12 months, we have supplied more than 25 robots to learning centres in the UK to support current and future education requirements.
Our Training Academy at our Coventry HQ is currently undergoing independent validation, after which FANUC UK will become one of the first automation companies to offer accredited courses that can feed into mainstream education, with credits obtained against a particular skill. Students will gain valuable hands-on experience in areas such as operating, programming, troubleshooting and integrating robots whilst securing credits towards their qualifications. This industry-led methodology will greatly benefit the new T-Level awards, which have been designed to try and solve the ever-growing skills gap conundrum.
This new engagement between education and industry, which will launch in the UK in the coming months, will mirror the US model where FANUC has been blazing a trail in the roll-out of certified education programmes for robotics and automation. It is hoped that fostering a close, mutually beneficial cooperation between industry and education providers will be the key to the success of the new T-Level system and be precisely the direct intervention we need to attract younger people to manufacturing.
But attracting new blood to the industry is just one part of the challenge.
Developing that talent into real industry expertise that becomes a source of competitive advantage is equally important. And this is what investment in automation is really about – not just buying a robot and waiting for it to pay back in the traditional labour-saving sense but establishing automation as a core function within business models.
There are a number of benefits to building strong in-house automation capabilities. As well as reducing reliance on third parties, this approach supports staff retention and promotes innovation from the inside. Companies can identify where the opportunities lie within their own businesses, understand how automation can enhance their facilities and use it to increase their productivity levels; something which the UK currently struggles with on the international stage (a German worker is around 30% an hour more productive than a UK worker).
This trend is already starting to play out in industries such as automotive production and the distribution and e-commerce fulfilment sector, where high-profile businesses are reaping the rewards of building internal automation teams. As the UK adopts more robotics and automation across different facets of industry and manufacturing, our prediction is that more companies will look at establishing their own internal automation teams.
As manufacturing companies embark on net zero roadmaps to meet the Government’s 2050 ambitions, sustainability is higher than ever on the agenda. Therefore, if automation is to play a key role in addressing the labour crisis, it needs to demonstrate that it represents a sustainable solution and can feed into net zero efforts.
In this respect, FANUC is a vanguard. We have been making our own servo drives for over 50 years and have now reached the point where we have achieved bestin-class energy efficiency. For example, our ROBOSHOT series of electric injection moulding machines uses up to 70% less energy than hydraulic machines and up to 20% less than other electric machines, thanks to servo technology and intelligent power regeneration capabilities.
FANUC also takes a circularity-driven approach to innovation and after-sales care in order to maximise resource use by prolonging the useful life of equipment. As a company, we operate a lifetime promise that as long as a machine is still in service, we will provide customers with original spare parts for a minimum of 25 years. As well as this long-standing commitment, our research and development team focuses on improving the lifespan of our products to reduce waste. One example is our CRX Collaborative Robot – with a heritage of nearly one million industrial robots, FANUC has designed the CRX to outlast its competition, with very minimal maintenance needed across its lifespan.
Automation presents a solution to several challenges facing manufacturers today, from unskilled labour shortages and increasing product quality to waste reduction. However, realising its potential will require a serious joint commitment by the manufacturing and automation communities to build skills and nurture the next generation of engineers. Here at FANUC UK, we are determined to be a key driving force for change.
Newly simplified modular laser platform is easy to operate, cost effective, versatile and reliabledelivering maximum marking resolution on a wide range of substrates
Further underlining its position at the forefront of advanced coding and marking equipment, Macsa ID UK recently launched its clean and energy efficient SPA 2 series of modular laser coders for the packaging industry. Featuring several technologies and multiple power options, the newly simplified platform delivers maximum marking resolution and definition at higher speeds more consistently over time. A true game-changer, the systems are versatile and reliable, as well as cost effective to own, maintain and operate.
Boasting a modular design, Macsa’s flexible SPA 2 lasers can be easily integrated with any production line or application, and adapted to meet the changing needs of the user at any time. Providing high quality marking on a range of packaging materials, such as wood, thermal labels, board, metallised board, glass, ceramics, metals, rubber and plastics, the SPA 2 platform is available with CO2, DPSS or Fiber technologies (several wavelength options). Plus, laser power from 3w-250w, enclosures for standard, dusty and wash down environments, extra powerful performance and high speed heads.
For superior precision, there are two basic SPA 2 printheads for different speed and quality requirements. The new XQS printhead is suitable for most applications whereas the HPD printhead is recommended for high resolution images, difficult substrates, product modification and marking areas above 250mm2. Digital galvos make calibration, trouble shooting and replacement much easier. A UHS printhead is available for very high speed lines and longer, more complex messages.
Due to the innovative EEP® (easy exchange printhead) feature, operators can switch printer heads on site using just two connectors, allowing the laser system to be adapted to the requirements of the production line at all times.
Macsa’s SPA 2 series is exceptionally easy to install, program and operate. A wizard supports installation and online help videos, technical guides and tips can be accessed via a new 10- inch handheld touchscreen controller designed to make programming quicker and to eliminate operator errors. The lasers can also be
controlled direct from a PC via an ethernet link or PLC with Profinet or OPC-UA.
The enclosure has been redesigned with a flat front surface allowing simple integration of vision systems and other devices. With models that meet IP54 and IP65 standards, the SPA 2 lasers are designed to operate in dusty or damp environments and in extremes of temperature.
The novel RAF® (reverse airflow cooling) system means that filters are changed less frequently and not needed at all in some circumstances. A sealed air system transfers heat from the laser to the cooling air itself. This eliminates the risk of dust being deposited directly into the system component. Part of the exhaust air is blown over the focusing lens keeping it dust free so that print quality is maintained without the need for operator intervention.
The SPA 2’s surface recognition feature, which is included within its 3D printing kit, allows printing on multi-level surfaces, ensuring an optimal focal point at all
times. An external Z-axis controller enables operators to adapt the SPA 2’s vertical coding axis in order to vary the height between print cycles and adapt it to different products.
The SPA 2 connector box offers a wide range of communication ports, enabling the system to be integrated with all elements of the production line. These new lasers support Macsa’s Optima software for real time control and compatibility with desktop printers, label printer applicators and label applicators.
Macsa’s SPA 2 laser coders are available with a range of software, accessories and services, are fume, waste and consumable free and use less power and energy.
The SPA 2 range is backed by Macsa’s advice and consultation services, installation assistance, training, technical support and extended warranty.
The enclosure has been redesigned with a flat front surface allowing simple integration of vision systems and other devices.
(starting from £6,995*)
Achieve high quality laser coding on any packaging material for a wide range of markets including food, pharmaceutical, beverage, personal care and cosmetics.
Available as CO2, Fiber, UV and Green options, our advanced lasers do not require consumables, making them environmentally friendly and cost effective to run.
Clean technology with no waste or emissions of volatile organic compounds
Eliminates risk of ink or solvent spills
Energy efficient for minimal costs
Compact models for production line environments and modular options for flexible integrated applications
Maintenance in industrial settings is essential to maximise efficiency and prevent accidents, but can be a hazardous and difficult job. In these harsh conditions, robots can perform inspection and maintenance tasks to safeguard human workers. Here Stewart Goulding, managing director of drive system supplier, EMS, looks at some of the industrial environments where robots dare to venture.
Some of the world’s most valuable industries, such as the power generation and oil and gas industries, bring high risk as well as important commodities. Regular maintenance at their sites is crucial for preventing accidents and failures, but performing inspection tasks can be difficult and dangerous. Inspection robots allow these duties to be completed easily and safely.
Robots are able to carry out maintenance tasks in the hard to access, hazardous and dirty environment of a water tube boiler. These boilers are commonly used in steam turbine power generation, but also in other industries such as chemical processing and paper manufacturing. Water is fed into the system and travels through tubes past a furnace to produce superheated steam.
If damage to these boilers, such as material corrosion, is left unchecked, there can be catastrophic safety implications and unplanned, costly interruptions to critical industrial processes.
Inspection robots are capable of performing maintenance tasks easily and to a high standard. They can crawl along the water tubes and carry out visual inspections using a camera system. They then measure the thickness of the tube walls using ultrasonic thickness sensors and clean the tubes.
Conducting maintenance tasks with a robotic system, rather than human workers, holds a number of benefits. As
the robots can be operated remotely, human workers remain out of harm. In addition, many traditional preparation tasks, such as securing work permits and assembling scaffolding, are no longer required, therefore saving time and money.
Remote-controlled inspection robots hold benefits in other high risk environments, such as those in the oil and gas industry. If damage goes unnoticed, dangerous consequences can follow, such as leakages, failures and explosions. Regular inspection is important, but can be challenging where equipment is in tight or hazardous spaces, or in the case of offshore oil rigs, underwater. In these situations, inspection robots are replacing traditional human inspections, performing tasks such as gauge readings and monitoring acoustic abnormalities.
When designing inspection robots, it’s important that engineers choose motors with high reliability, as a robot failure would require a complicated recovery job. Keeping the system compact should also be a priority for design engineers, so that the robots can fit into tight spaces, such as water tubes.
The FAULHABER BXT flat brushless motors offer a short drive solution with class-leading torque, therefore delivering high power while still being able to fit into small space envelopes within inspection robots. EMS is the sole UK supplier of FAULHABER motors, which are all made in a high precision manufacturing process that ensures the greatest accuracy and reliability.
Keeping industrial equipment in check ensures operations run safely and efficiently, but maintenance can be challenging and dangerous for human workers to carry out. Inspection robots can perform inspection tasks in tight and hazardous areas, helping to keep important equipment running and workers safe.
www.ems-limited.co.uk
Inspection robots are capable of performing maintenance tasks easily and to a high standard.
Amedium-sized galvanizing plant in the Black For-est, southern Germany, has invested in automation. It is relying on a compact KUKA welding cell to bring production back to Germany and generate and serve new customer orders. This saves thousands of transport kilometers in the production process and prevents the shortage of skilled workers.
It is unusual for a galvanizing plant to weld steel parts. The core competence of galvanizing plants lies in hot-dip or centrifugal galvanizing to protect steel parts from corrosion. Verzinkerei Sulz, based in Sulz am Neckar in the Black Forest, employs 65 people and now also has a compact welding cell from KUKA in op-eration. The KUKA KR CYBERTECH nano robot integrated in it precisely joins an octagonal prism to a compact plate of steel with the aid of the welding device. After just 90 seconds,
two welding processes are completed. An employee re-moves the finished products and replaces them with two new ones. “One weld-ing process takes less than a minute,” enthuses Bernd D. Euschen, managing director of Verzinkerei Sulz GmbH. Depending on the type of steel base plates, Euschen calculates that 5,000 to 10,000 components are galvanized per month.
In the past, Euschen reports, these assemblies were delivered to the galvanizing plant with welds of varying quality. But there were also changing subcontractors responsible for this and sometimes welding was done by hand, sometimes with robots. For this purpose, the customer had the components transported by truck to Eastern Europe for welding. After welding, the truck transported the welded assemblies to the Black Forest, to the Sulz galvanizing plant, for galva-nizing, assembly and shipping. “So our customer had to send 40 tons on the road twice a week,”
Euschen reports.
The initial assessment is positive: “We had calculated that it would take 2.5
years to achieve a return on investment, but we are confident that we will have achieved this after one and a half to two years. Because the fact that we can now also weld is now bringing us additional galvanizing orders. We’ve been able to strengthen our core processes.” In times of a shortage of skilled workers, Euschen finds that there is no way around automa-tion for many small and medium-sized companies. “You can say quite clearly: the invest-ment costs are manageable, but the opportunity to take the first steps with it, build up know-how and land the first good customer orders is very high.” Christoph Welle from KIWI-Automations GmbH & Co. KG has been a system partner of KUKA since 2016 and implemented the solution for the galvanizing plant: “For us as a system builder, this project is a very good pilot project to show other companies that getting started with automation does not have to be difficult. That you don’t have to be inhibited, but can slowly grow into it, even as a small company.” This solution also benefited from the fact that KIWI-Automa-tions already works with many companies in the sheet metal processing industry and is very familiar with the sector. In this way, the right solution was found for the Sulz galvaniz-ing plant and its customer.
KUKA is a global automation corporation with sales of around 4 billion euro and around 15,000 employees. The company is headquartered in Augsburg, Germany. As one of the world’s leading sup-pliers of intelligent automation solutions, KUKA offers customers everything they need from a single source. From robots and cells to fully automated systems and their connectivity in markets such as automotive with a focus on e-mobility & battery, electronics, metal & plastic, consumer goods, e-commerce, retail and healthcare.
The latest state-of-the-art crash testing facility in the UK opened its doors in January 2023. Completed in December 2022, it delivers the largest capacity Servo Sled capabilities in the UK.
The facility design called for a collaboration between multiple inhouse and external highly-skilled, expert engineers with practical experience and knowledge of this specialist field. The lighting system being a crucial component, was no exception.
If you’re not familiar with the field, you might be wondering why the lighting aspect is so important or indeed such a challenge to get right. Historically, such laboratory installations used halogen lamps to deliver the substantial lighting levels required for filming the tests at speeds in excess of 1000fps. The lamps provided continuous lighting without any visible flickering on the high-speed filming.
The major issue with this approach, notwithstanding the huge energy requirements, was the level of heat generated by the lamps which constrained operation in this temperature controlled environment.
The test facility must operate within an internationally regulatory prescribed temperature range and if this is exceeded, with calibrated equipment surface temperatures being too high, the test is postponed so that the ambient temperature can drop and equipment can be maintained at the correct temperature range for a minimum of four hours before testing can resume as per the regulations.
To overcome this problem, another common approach is to use specialist high pressure lamps which generate less heat. However the draw back here is the size of the lamp, time the lamp takes to reach full brightness
and the re-strike time after power off. This poses problems when performing system checks immediately before a test.
CWB Electrical Engineers has been building specialist crash test lighting systems for 15 years. We have systems above and below ground, in sled and full scale crash laboratories and can even remanufacture obsolete lighting units if required.
Our systems deliver the latest LED flicker free technology and are designed for the physical constraints of the laboratory they are to be installed in. They are manufactured in kit form to minimize disruption and on site assembly time. The system has no warm up time, instant re-strike and operate between 60-75% more efficiently than conventional systems with very little heat radiation.
Our systems proudly sit in several of the worlds best known Proving Grounds in the UK.
For further information, please visit www.cwb-ee.co.uk
Our systems deliver the latest LED flicker free technology and are designed for the physical constraints of the laboratory they are to be installed in.
CWB Electrical Engineers Ltd specialises in industrial electrical applications and control systems. We work with a wide variety of clients from small independent factories to large global manufacturers, delivering a service tailored to their specific business requirements. Based in Bedfordshire, just north of London and with a new branch opening in South Wales, we support clients and businesses all over the UK and internationally.
Our engineers have extensive experience and knowledge in a wide variety of highly specialised industrial applications. We pride ourselves on our attention to detail, reliability and solutions based approach.
One industry, countless applications. Plastics technology not only requires a wide range of machines, but also drive components that can be flexibly adapted. Benjamin Mönnig, Head of Application Sales at KEB Automation, explains what is important in plastics technology and why increased sustainability and plastics processing can work together in practice.
In which areas of plastics technology do customers rely on KEB in particular? With our drive solutions, we are represented in all areas of plastics technology. This includes extrusion technology, such as blown film lines with auxiliary drives, profile extrusion or blow moulding machines. But we also supply injection moulding machines such as all-electric, hybrid or hydraulic machines with servo pumps, always with the aim of making the machine or system as efficient as possible.
Different fields of application also means different requirements for the drive and automation solutions. How does KEB meet these needs?
Providing individual solutions for our customers in the plastics industry are our strength. Our experts from the plastics team go into detail about the requirements of the respective application and therefore find the right drive solution. Users benefit from our system solutions. This means starting with brakes for rotary table drives, gearboxes, servo motors, drive controllers, industry-specific software and
control technology. We provide customers with coordinated hardware and software solutions from a single source that are specially tailored to the plastics machine.
Which aspects of drive technology are manufacturers of plastics machinery currently attaching greater importance to?
Plant and machine builders have a justified interest in a high level of efficiency for their application. In addition, the quality of the drive components must be convincing to ensure maximum reliability and efficiency over a long service life and to prevent production downtime. A fast and globally positioned service is also important in order to receive straightforward and competent support if the unexpected should occur. Many customers also rely on the advantages of sensorless control or DC coupling. This enables the exchange of energy with other drive controllers, saves energy and ultimately contributes to increased sustainability. We also offer our customers options for feeding the surplus energy back into the grid.
Plastics processing and sustainability sounds like a contradiction. To what extent can KEB’s drive solutions have a positive environmental impact in plastics machines?
It’s not a contradiction. Our drive controllers provide very high control quality in terms of speed and torque accuracy. This increases reproducibility and significantly reduces rejects.
Furthermore, it enables the end customer to produce particularly thin-walled materials. This, in turn, has a positive impact on the subsequent transport of the packaging and therefore also on the environmental impact, which can be reduced in this way. The importance of plastics in sustainable industries such as electromobility and the role they play in a well-functioning circular economy should also not be forgotten. However, sustainability at KEB already starts with the production of our components. Product design focuses on the lowest possible consumption of resources and at the end of the lifecycle, around 75 per cent of our product can be recycled.
KEB provides a complete Automation Solution from gear shaft to HMI screen, including motion control up to CNC level, safety systems with FsoE (Failsafe over EtherCAT) and visualisation. KEB’s aim is always to find the optimum drive and control solution tailored to suit a customer’s precise requirements.
For more information, please visit www.keb.co.uk
Coordinate measuring machines are used for high precision quality and parts inspection. Optical distance sensors are increasingly being used for this purpose to replace conventional mechanical gauges. There are numerous reasons for using non-contact sensors: the measurement is reactionless, fast and offers high resolution.
Modern optical sensors such as laser triangulation sensors, laser scanners and confocal sensors are particularly suitable for this purpose, says Glenn Wedgbrow, Business Development Manager at Micro-Epsilon UK.
Coordinate measuring machines (CMMs) detect the geometrical properties of workpieces in detail. For many years, measuring systems were equipped with tactile sensors, but these are increasingly being replaced by optical
sensors. Optical sensors offer numerous advantages over tactile measurement technology. Laser triangulation sensors, laser scanners and confocal chromatic sensors measure the target without making contact. This means that the sensors do not have any influence on the measuring object. The measurements are performed with micrometer accuracy and are normally faster than contact measurement methods.
In practical use, optical sensors are extremely flexible. They measure distance, dimensions, position, angles, shape, roughness and even 3D profiles. Micro-Epsilon offers a broad sensor portfolio that has proven itself in numerous measuring machines. The sensors are used in various systems for both measurement and precise positioning.
For positioning of the measuring head, optoNCDT 1900 laser triangulation sensors measure the distance to the target or baseplate. This type of sensor is particularly suitable for precise distance control and object detection. This allows the CMM’s geometry data acquisition systems to be aligned with maximum precision. The laser sensors are integrated into the measuring head system, which is typically attached to the vertical z-axis – the quill. The laser sensor delivers maximum signal stability and due to its compact design, is easy to integrate. The lightweight, robust laser sensor makes it ideal for measurements with high accelerations. The sensor operates at measuring rates of up to 10 kHz and offers a linearity of ±1 µm and a repeatability of 0.1 µm.
The measurements can be started via the encoder pulse of the CMM, thus achieving absolute time-synchronous values. Due to the sensor’s intelligent Advanced Surface Compensation feature, stable results are achieved, even on challenging surfaces. With up to 50,000 lx, the sensors are extremely resistant to ambient light and can therefore be used in highly illuminated environments. For signal optimisation, two-stage measurement averaging is available, which enables a smooth signal curve at edges and steps.
In terms of resolution and measuring rate, confocal chromatic sensors are among the most powerful measuring systems in optical metrology. For example, they are used for highresolution distance measurement on various surfaces and for roughness measurement. The confocal sensor systems from Micro-Epsilon combine state-of-the-art technology and easy integration. The sensors allow a tilt angle of up to ± 30° and offer a high numerical aperture. This enables high resolution and small light spots. Curved and structured surfaces can therefore be detected precisely and reliably. In this way, gears or external threads can also be detected. Due to the noncontact measuring principle, the sensor does not affect the target object, which enables wear-free measurements. This is why values can be detected much faster compared to tactile measuring principles. With the confocalDT controllers, measuring rates of up to 70 kHz can be achieved. For measurement in confined spaces, compact sensors, as well as sensors with a 90° beam path are available, which can be integrated in the CMM measuring head to save space.
When measuring large, complex components, the scanCONTROL series of 3D laser scanners from Micro-Epsilon are used. These scan large measurement areas at high resolution and are ideal for use in CMMs due to the low sensor weight. Measurement data acquisition is very fast with measuring rates up to 10 kHz. As a result, a complete 3D point cloud is available, which allows precise evaluation, quality inspection as well as further processing. The scanCONTROL laser scanners are based on the latest GigE Vision and GenICam standards and can therefore be integrated in a wide range of image processing environments. The 3DInspect software is a powerful tool for parameter setting, evaluation and output.
Among other things, laser scanners are used for prototype scanning. The
sensor can be guided by a robot arm or integrated in a measuring table. The scanner measures the component while being moved over the component from all sides. Taken from multiple directions, the user obtains a 360° image. A software solution transforms it into a complete 3D point cloud within an extremely short time. To enable high-precision measurements, the measurement data must be perfectly synchronised with the measurement position. Conventional sensors are often triggered externally and detect the profile with a time delay that causes inaccurate position data. The scanCONTROL laser scanners from Micro-Epsilon, on the other hand, offer a special CMM trigger for this purpose.
This is a parameter output optimised for CMMs. The sensor can therefore send trigger pulses in the middle of the exposure time and thus assign the profile to an exact measuring position. Fine tuning is also possible, for example, to compensate for run times of the pulse in the cable. As scanCONTROL laser scanners are available with different measuring ranges, both large and small objects can be detected. The captured 3D point clouds can be compared with existing CAD models to make any discrepancies obvious.
For more information on optical sensors for CMMs, please call the Micro-Epsilon sales department on +44 (0)151 355 6070 or email info@micro-epsilon.co.uk
In many applications the cable exit from a sensor has little impact on its installation location, but when it comes to mounting sensors in tight spaces such as pipes and tubes then every millimetre counts!
Precision sensor manufacturer MicroEpsilon has introduced two new model options for its scanCONTROL 30xx range of laser profile sensors (laser scanners) – a rear tail cable option and a protective housing option.
The rear-tail option with cable integrated on the rear of the sensor allows even more space-saving installation. The length of the integrated cable is 30cm. This version eliminates the need for upward wiring, which means around 80mm less installation height is required. Compared to the standard sensor model, almost 50% of the installation space can be saved.
The new protective housing option makes the sensors even more robust in harsh industrial environments. The housing is available for sensors in the 25x0 and 29x0 series with measuring ranges of 25, 50 and 100mm, as well as sensors in the 30x0 and 30x2 series with measuring ranges of 25 to 200mm.
The protective housing offers connections for air flushing and liquid cooling, an adjustable splash guard, a replaceable protective glass and a free-blowing device. If the built-in free blowing device is supplied with compressed air, dirt, dust and other contaminants can be removed directly, which extends cleaning intervals. The protective housing with additional water cooling offers protection against mechanical damage as well as protection against high ambient temperatures. Alternatively, it is also possible to heat the sensor at particularly low outside temperatures. If the protective screen is damaged, it can be replaced easily and cost-effectively.
The scanCONTROL 30xx sensor is among the highest performing laser
scanners in terms of its size, accuracy and measuring rate. The sensor has a compact housing with integrated controller, allowing fast integration into confined spaces. Available with either red or blue laser technology, the sensor provides calibrated 2D profile data with up to 5.5 million points per second. A maximum profile frequency of 10kHz and innovative exposure control enable precise profile measurements in high speed, dynamic processes. A high resolution sensor matrix offers a resolution of 2,048 points per profile
About Micro-EpsilonFor more than 50 years, we have continuously offered reliable, high performance, unique solutions particularly when high precision measurement or inspection is required.
with an ultimate point distance spacing of just 12µm, allowing measurements of extremely fine surface/geometrical details.
For more information on the scanCONTROL 30xx series of laser profile scanners from Micro-Epsilon, please visit www.micro-epsilon.co.uk or call the Micro-Epsilon sales department on +44 (0)151 355 6070 or email info@micro-epsilon.co.uk
The scanCONTROL
30xx sensor is among the highest performing laser scanners in terms of its size, accuracy and measuring rate.
PTC, one of the world’s leading digital transformation specialists, has announced a major milestone for engineers, with the seamless integration of its Codebeamer® (Application Lifecycle Management) product version with Windchill® (Product Lifecycle Management).
Completed via the OSLC standard, this latest innovation improves visibility across the entire digital development process and should help manufacturers of complex products innovate quicker and better.
PLM solutions like Windchill manage parts, models and documents, while ALM solutions like Codebeamer automate software development and delivery processes to increase productivity and ensure compliance. Software development teams typically work according to agile methodologies.
By integrating the ALM and PLM solutions, all software and hardware product development teams can now benefit from the advantages of
lifecycle management systems and the ability to quickly respond to changing requirements, as well as capture, link, track and manage all requirements. At the same time, it provides full traceability from start to finish.
You get an end-to-end user experience with a single sign-on, links visible in both directions and automatic detection of links after changes.
“With this integration, we have reached another milestone for engineers in the industry,” said Elliot Clarke, UKI regional director at PTC.
“Now that these two leading solutions work seamlessly together, we are providing end-to-end support for the entire digital development process for both hardware and software. This takes collaboration between different development teams to a new level and especially helps manufacturers of complex products innovate faster and better.”
www.ptc.com
PTC helps global manufacturers achieve double-digit cost optimisation with software solutions that accelerate product and service innovation, improve operational efficiency, and increase workforce productivity.
You get an end-to-end user experience with a single sign-on, links visible in both directions and automatic detection of links after changes.
Keeping ahead of the competition requires a dedicated team of experts and investment in both manufacturing facilities as well as research and development (R&D). In Wexford, this formula has enabled the manufacturing site to remain at the forefront of pump technology as well supporting industry with products for aeration and agitation. After 50 years, Sulzer’s plant continues to deliversome of the most efficient and reliable products available to customers around the world.
In fact, after covering national demand, 97% of the equipment manufactured in the Wexford plant goes for export, mainly to Europe and North America. In support of this, the personnel also provide extensive research and development work for other Sulzer sites as well as technical assistance for customer projects.
Brendan Sinnott, Managing Director at Sulzer’s Wexford plant, explains: “The innovation and commitment to excellence in this plant has been
well-recognized and we have managed to secure repeated investments that enable us to complete many research and development projects. Now that we have expanded our offering to include Sulzer’s grinder range in Wexford, we will be supplying these market-leading products all over the world as well.”
Successive management teams have invested in the site to expand product lines and introduce modern processes, such as robot painting facilities. In addition, the Industrial Development Agency (IDA) of Ireland has supported expansion, training and R&D programs at the site. More recent investments are aimed at meeting sustainability goals in the manufacturing facility and looking to reduce the company’s carbon footprint.
In addition to its extensive global customer base, there are still many opportunities for Sulzer products in the domestic market and the company continues to increase sales across the board. The increased sales of the JWC range of grinders, for example, has meant that the European manufactur-
ing base has moved to the Wexford plant where a lean manufacturing approach has made the integration of the additional product line possible.
Sulzer is renowned for its market-leading pump products and many of those designed for the wastewater industry are manufactured in Wexford. In addition, more recent investment has brought other important products to the site including aeration products for wastewater treatment and dewatering pump ranges designed for mining and civil engineering projects.
Brendan concludes: “We have developed market-leading products that are exported around the world, all thanks to our outstanding workforce and the investments that have enabled us to continue innovating. At a time when energy costs are so high, our laser focus on efficiency is allowing customers to reduce operating costs and achieve more of their sustainability goals.”
www.sulzer.com/en
With electrification, good things come in threes, it seems. No less than three manufacturers of compact municipal vehicles are gearing up to incorporate high-efficiency electric wheel hub motors made by Schaeffler into their production lines in the coming months. Fully electrified, their road sweepers, vans, and snowplow vehicles will operate with zero local CO2 emissions, leading to improved air quality in urban areas. “Schaeffler is reinventing the drive systems used in small, lightweight electric utility vehicles in our inner cities,” said Matthias Zink, Schaeffler’s CEO Automotive Technologies. The defining feature of the new wheel hub motors is that all the components needed for propulsion and braking are integrated directly into the wheel rim, rather than being positioned centrally or mounted on the drive axles. This architecture saves space and makes the vehicles much more agile
and maneuverable in city traffic. Utility vehicles powered by these low-noise, fully electric motors are very quiet to operate, resulting in reduced sound pollution in pedestrian areas and on city streets. They can also be operated for extended hours in residential areas because the disturbance to residents is so much less.
One of the first companies to be launching a multifunction vehicle
comprising Schaeffler wheel hub motor technology onto the market this year is Jungo. Jungo and Schaeffler have been partnering to tailor the drive technology to the specific everyday requirements of commercial street sweeping. “The electric in-wheel motors and braking technology eliminates the need for oil changes and greatly enhances our vehicles’ performance in terms of efficiency, power-to-weight ratio, safety, handling, and braking reliability,” said Jungo founder and CEO Nicolas Jungo.
Schaeffler’s wheel hub motors have a broad range of inner-city mobile machinery applications, including street sweeping, snow clearing, and waste collection. “In this vehicle segment, as in others, the question is: what’s the fastest and most efficient way to reduce CO2 emissions? And the answer to
Schaeffler is reinventing the drive systems used in small, lightweight electric utility vehicles in our inner cities.
Schaeffler electrifies municipal utility vehicles with in-wheel
that question is electrification,” said Dr. Jochen Schröder, head of E-Mobility at Schaeffler. This new drive technology opens up a new and steadily growing market for Schaeffler. The company aims to see its wheel hub motors used in more and more utility and service vehicles in towns and cities, on factory campuses, and at logistics centers, ports, airports, and large parking facilities. These types of vehicles tend to be operated on set routes, so they are a good fit for the fixed ranges and predictable charging times of electric drives. Another key benefit for vehicle operators is that the wheel hub motors have long-life, low-maintenance wheel bearings and gearboxes.
Schaeffler’s fully electric wheel hub motors have a unique architecture
in which the electric motor (stator and rotor), gearbox, and mechanical friction brake are arranged around the wheel bearing inside the rim. This compact design envelope frees up space elsewhere in the vehicle – for the battery or cargo stowage, for example. It also gives vehicle manufacturers greater design freedom, allowing them to develop a wide range of mobility formats, including rolling chassis solutions. “Our highly integrated electric wheel hub motors also improve vehicle maneuverability, which is a key prerequisite for automated driving,” said Jochen Schröder.
The wheel hub motor, including the gearbox, is very compact, fitting inside a 14-inch rim. The inverter, on the
other hand, is not integrated, and can be accommodated anywhere in the vehicle. A single inverter controls one or two wheel hub motors, depending on the use scenario. The motor’s power output is scalable, depending on the application, ranging from 7 kW to 26 kW (nominal) and peaking at 60 kW for short bursts. The torque generated by the electric motor is transmitted via the gearbox directly to the wheel. This direct transmission reduces energy loss, making the drive highly efficient. Another key benefit is that torque and direction of rotation are controlled individually for each wheel, resulting in an all-wheel drive vehicle that can handle hills with consummate ease, even in winter road conditions. Schaeffler currently develops wheel hub motors for 48 V and 400 V applications and is exploring the possibility of higher voltages.
www.schaeffler.com
The SHSLab is a powerful and comprehensive wavefront measurement solution from Micro-Epsilon. Developed by Optocraft GmbH, a member of the Micro-Epsilon group of companies since 2018, SHSLab Shack-Hartmann wavefront sensors are used for applications such as optics testing, optics alignment and laser beam characterisation. Wavefront sensors are used in production and R&D in optics manufacturing, laser industries, astronomy and space applications, as well as by contact- and intra ocular lens manufacturers, including mobile phone optics, microscope and photographic lenses.
A typical application is for the alignment of optical systems, where wavefront guiding facilitates and speeds up the alignment process significantly. The following application
describes the alignment of a collimation lens in front of a light source, and the set up of a Kepler telescope. The discussed principle can be applied to many alignment applications, not just the specific example described below.
In the test set up, a fibre-coupled LED is used emitting at 625nm. In the first step, the fibre end and the SHSLab ShackHartmann wavefront sensor (WFS) are mounted on a rail on an optical table. The WFS detects the spherical wave emitted by the fibre. In this situation, the wavefront curvature radius measured by the WFS is equal to the distance between the fibre end and the micro-lens plane of the WFS. This means it can be used to align the correct axial position of the fibre end.
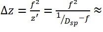
A collimating lens is placed (focal length ƒ=60mm) in front of the fibre. First, the lens is aligned in the lateral direction by minimising the wavefront tilt α, which is directly related to the lateral misalignment Δx between the lens and the fibre end: Δx = ƒ . tan α. Next, the lens is aligned in the axial direction by minimising the spherical power of the wavefront (resp. wavefront defocus). The spherical power Dsp is directly related to the axial misalignment:
Using a relatively simple centering stage for x-y alignment of the collimating lens, the tilt can be reduced to 0.007mrad. By displacing the lens along the rail in the z-direction, the beam can be collimated and a wavefront curvature radius of Rwf ≥ 110m can be achieved (the achievable collimation is limited by the mechanical components of the setup, not by WFS measurement precision).
Now a Kepler telescope can be set up, which consists of two lenses with 40mm focal length. The first lens is mounted 40mm in front of the WFS, and the second lens is initially mounted 80mm in front of the first lens. In this roughly pre-aligned state, the wavefront shows a tilt of 0.5mrad and a curvature radius of 0.85m. Aligning the second lens of the Kepler telescope in the lateral and axial directions, again tilt is minimised and spherical power of the wavefront is transmitted through the telescope. In this way, the Kepler telescope can be quickly set up and precisely aligned to an afocal configuration. If tilt and defocus resulting from residual misalignments are subtracted, it is found that the setup consisting of collimating lens and Kepler telescope has a “corrected” wavefront rms of 0.027µm (on 5mm pupil diameter). This corresponds to a Strehl ratio of 0.92, i.e. the setup is well diffraction limited.
In the above scenario, where the light emitted by the fibre is collimated by the collimating lens, the sensitivity of the wavefront tilt and refractive power need to be considered. To assess stability, the wavefront data is continuously recorded for 5 minutes, and the standard deviation of the temporal signals are calculated (shown in the graph below):
σTilt = 0.2µrad; σD = 0.06mdpt. Using the above noted relations between lateral displacement and tilt, and between axial displacement and curvature radius, these numbers translate into a theoretical sensitivity of the focus position measurement of ca. 12nm in the lateral direction and ca. 220nm in the axial direction (for a focal length of ƒ=60mm of the collimation lens).
In the second stage of the experiment, a phase plate (optical window with certain surface aberrations) is placed as a test object in the object plane of the telescope. The WFS now detects the aberrations of the collimating lens, the Kepler telescope and of the phase plate.
By recording a reference measurement of the system without the phase plate first, the aberrations of the system (spot reference) can be subtracted to obtain the wavefront that carries only the aberrations of the phase plate.
Many applications make use of spatial filtering methods to reduce wave aberrations. To demonstrate the effect of spatial filtering on the transmitted wavefront, a pinhole with 100µm diameter can be inserted at the Fourier plane of the Kepler telescope, thereby low-pass filtering the wave generated by the phase plate (the pinhole must be aligned in the x-, y- and z-axis by minimising wavefront rms). The effect of this pinhole is small; the corrected wavefront rms decreases from 0.1µm
to 0.09µm. So the 100µm pinhole is replaced by a 50µm pinhole. The corrected wavefront rms distinctly decreases to 0.06µm. When replacing the 50µm pinhole with a 30µm pinhole, the corrected wavefront rms decreases further to 0.02µm. The PSF shown below is calculated from the corrected wavefront with an added refractive power representing the effect of the telescope lens with 40mm focal length.
The Optocraft wavefront sensors are distinguished by their high speed, single-shot measurements, excellent unreferenced accuracy, extreme dynamics and broad spectral ranges. They are also able to measure wavefronts with
very strong higher order aberrations. They can measure large tilt angles and strongly defocused beams. They offer high intrinsic stability and reliability, powerful, customisable evaluation software and are versatile and flexible in usage. Optocraft’s systems are in operation in many demanding customer applications.
For more information on the SHSLab wavefront sensors from Micro-Epsilon, please visit www.micro-epsilon.co.uk or call the Micro-Epsilon sales department on +44 (0)151 355 6070 or emailinfo@micro-epsilon.co.uk